Open Access

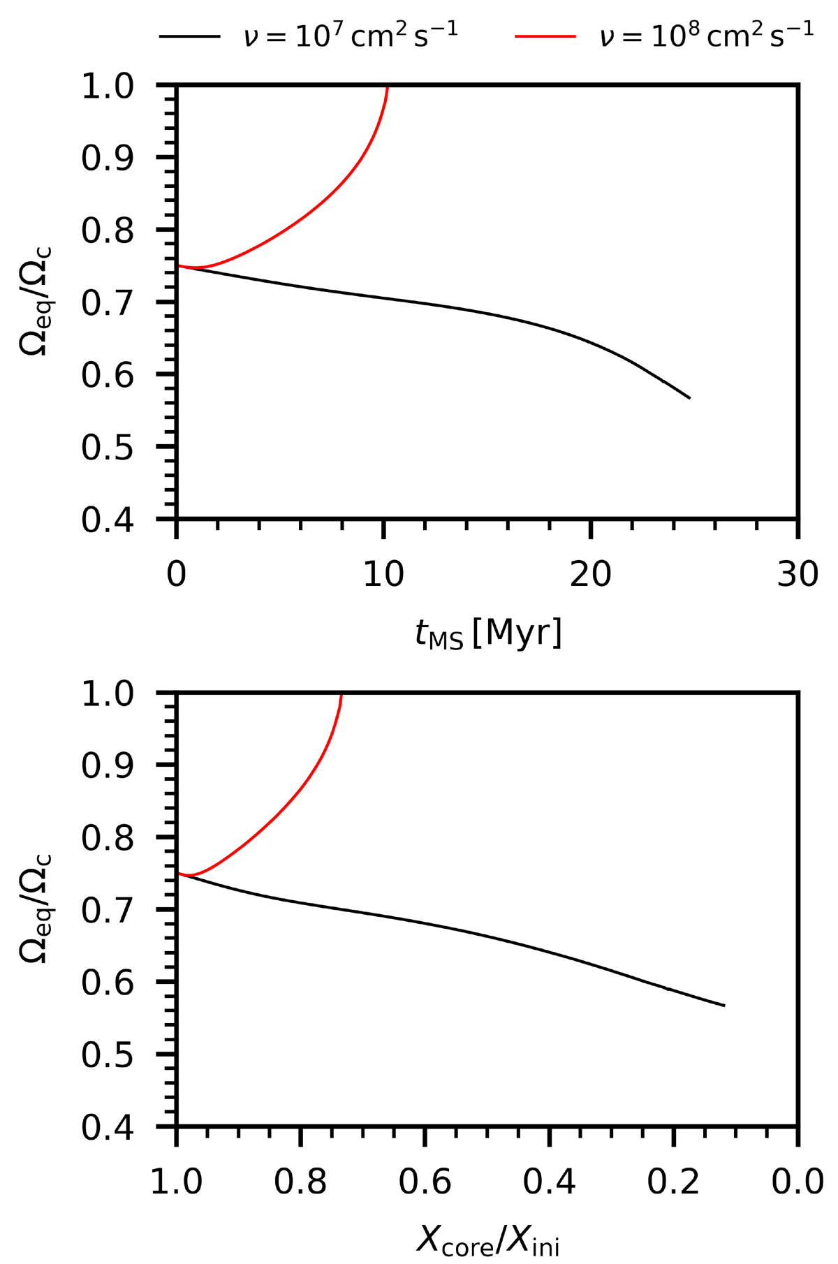
Fig. 13.

image

Download original image

Comparison of the evolution of two 10 M models with different kinematic viscosities, shown as a function of time spent on the main sequence (top panel) and as a function of the normalised hydrogen mass fraction in the core (bottom panel).

Current usage metrics show cumulative count of Article Views (full-text article views including HTML views, PDF and ePub downloads, according to the available data) and Abstracts Views on Vision4Press platform.

Data correspond to usage on the plateform after 2015. The current usage metrics is available 48-96 hours after online publication and is updated daily on week days.

Initial download of the metrics may take a while.