Open Access

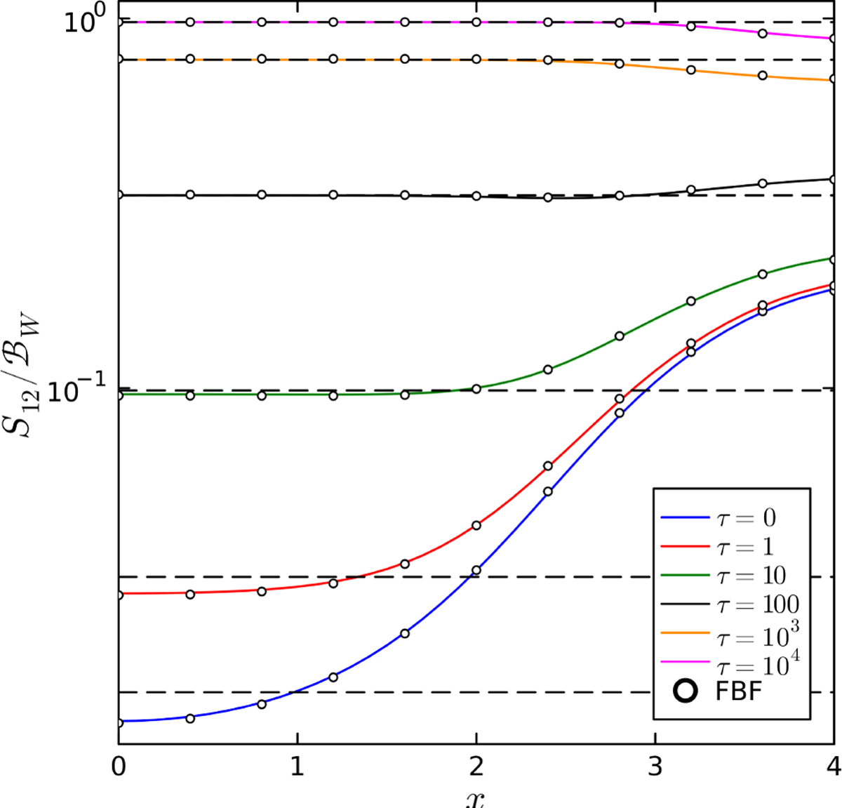
Fig. 1

image

Download original image

Frequency variation of normalised source function S12 of 1 ↔ 2 line at different optical depths τ for a two-level atom. Horizontal dashed black lines show CRD solutions for τ = 0, 1, 10, 100, 103, 104. We compare FNLTE results (coloured lines) with Hummer’s PRD results (black open circle). CRD and PRD solutions were computed using the ALI and FBF methods, respectively. Clearly, we accurately recover the results presented by Hummer (1969) and PSP23.

Current usage metrics show cumulative count of Article Views (full-text article views including HTML views, PDF and ePub downloads, according to the available data) and Abstracts Views on Vision4Press platform.

Data correspond to usage on the plateform after 2015. The current usage metrics is available 48-96 hours after online publication and is updated daily on week days.

Initial download of the metrics may take a while.