Open Access

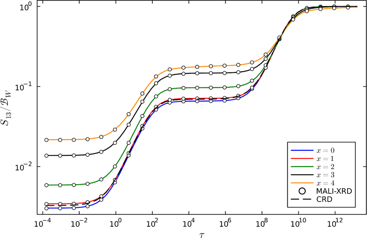
Fig. 3

image

Download original image

Optical depth variations of normalised source functions for the 1 ↔ 3 line of a three-level hydrogen atom in the frame of XRD approximation. We compare FNLTE results (coloured lines) for various frequencies x = 0, 1, 2, 3, 4 with XRD reference solutions (open black circle) computed using the MALI-XRD method of Sampoorna et al. (2013). The dashed black line shows the CRD solution computed using the MALI-CRD method.

Current usage metrics show cumulative count of Article Views (full-text article views including HTML views, PDF and ePub downloads, according to the available data) and Abstracts Views on Vision4Press platform.

Data correspond to usage on the plateform after 2015. The current usage metrics is available 48-96 hours after online publication and is updated daily on week days.

Initial download of the metrics may take a while.