Open Access

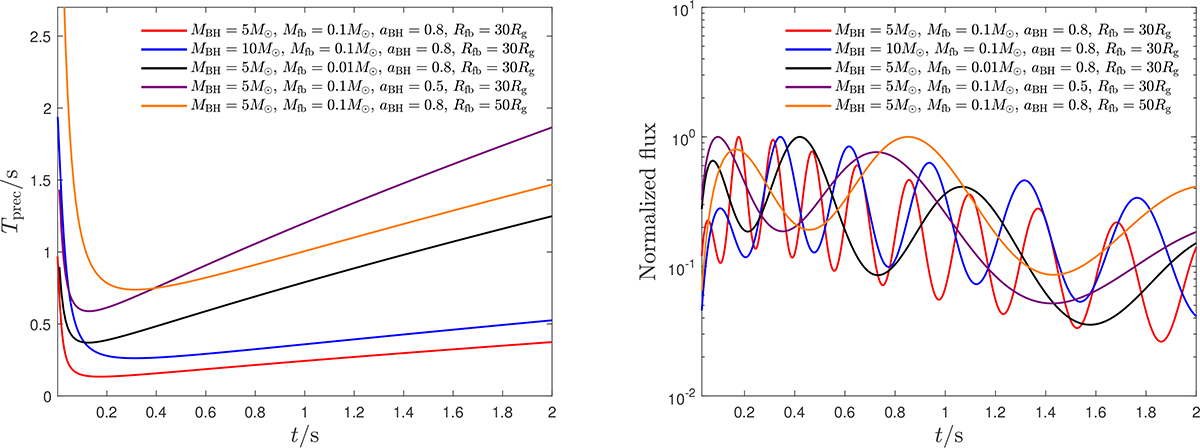
Fig. 3.

image

Download original image

Evolution of the precession period (Tprec; left panel) and the normalized flux (right panel) with time. Different colours represent different parameter combinations. H/R = 0.2, α = 0.1, and tfb = 0.1 s are fixed, and the initial parameters (θp,θc,θobs,ϕp,ϕobs,0) are set as (5°,5°,5°,0°,0°).

Current usage metrics show cumulative count of Article Views (full-text article views including HTML views, PDF and ePub downloads, according to the available data) and Abstracts Views on Vision4Press platform.

Data correspond to usage on the plateform after 2015. The current usage metrics is available 48-96 hours after online publication and is updated daily on week days.

Initial download of the metrics may take a while.