Open Access

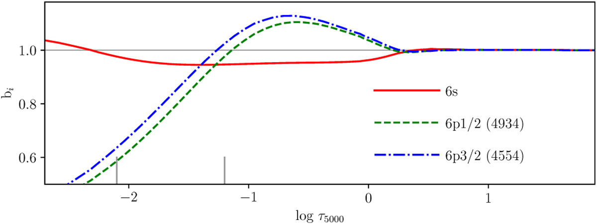
Fig. 3

image

Download original image

Departure coefficients of the ground state of Ba II (6s) and the upper levels of the resonance transitions in a model atmosphere of a VMP giant. The vertical dashes indicate the line core formation depths of the resonance lines of different strength: 130 mÅ and 60 mÅ at logτ5000 = −2.1 and −1.2, respectively.

Current usage metrics show cumulative count of Article Views (full-text article views including HTML views, PDF and ePub downloads, according to the available data) and Abstracts Views on Vision4Press platform.

Data correspond to usage on the plateform after 2015. The current usage metrics is available 48-96 hours after online publication and is updated daily on week days.

Initial download of the metrics may take a while.