Open Access

Fig. 3.

image

Download original image

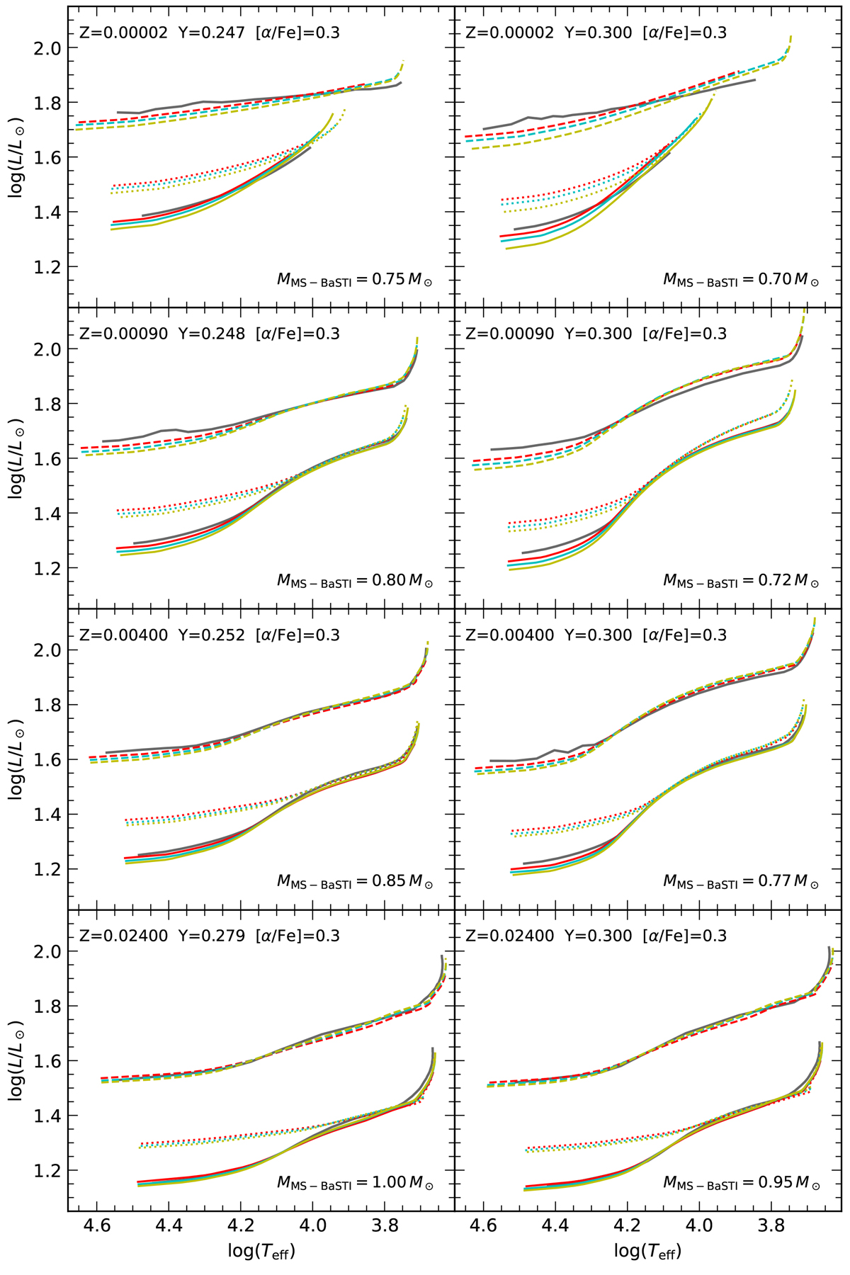
PGPUC ZAHB (continuous lines), MAHB (dotted lines), and TAHB loci (dashed lines) in the theoretical plane for eight chemical compositions listed in each panel. Red, cyan, and yellow lines correspond to progenitor masses of 0.700, 0.800, and 0.900 M, respectively. In gray are shown ZAHB and TAHB loci from BaSTI for comparison, with the progenitor mass of those models indicated in each panel.

Current usage metrics show cumulative count of Article Views (full-text article views including HTML views, PDF and ePub downloads, according to the available data) and Abstracts Views on Vision4Press platform.

Data correspond to usage on the plateform after 2015. The current usage metrics is available 48-96 hours after online publication and is updated daily on week days.

Initial download of the metrics may take a while.