Open Access

Fig. 5.

image

Download original image

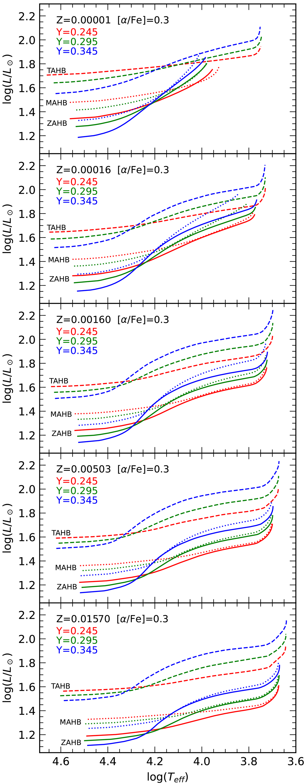
ZAHB (continuous lines), MAHB (dotted lines), and TAHB loci (dashed lines) in the theoretical plane for five metallicities, increasing from the top to the bottom panels, for MMS = 0.900 M and [α/Fe] = 0.3. Red, green, and blue lines correspond to helium abundances of Y = 0.245, 0.295, and 0.345, respectively.

Current usage metrics show cumulative count of Article Views (full-text article views including HTML views, PDF and ePub downloads, according to the available data) and Abstracts Views on Vision4Press platform.

Data correspond to usage on the plateform after 2015. The current usage metrics is available 48-96 hours after online publication and is updated daily on week days.

Initial download of the metrics may take a while.