Open Access

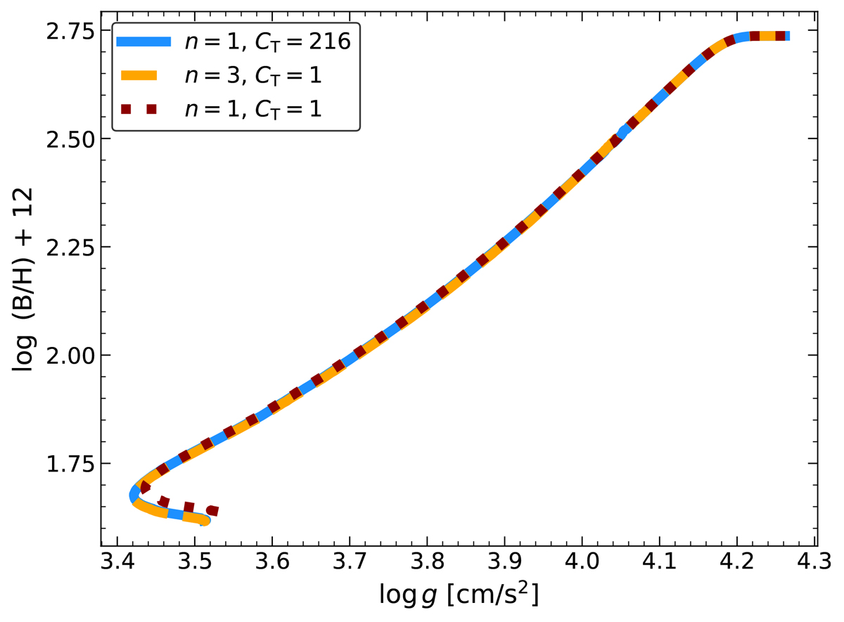
Fig. B.3.

image

Download original image

Boron abundances as a function of log g for 15 Mvini/vcrit = 0.4 magnetic models computed with the asteroseismic-calibrated prescription for the transport by the Tayler instability of Eggenberger et al. (2022) (straight blue line), the prescription of Fuller et al. (2019) (dashed orange line) and the one of Spruit (2002) (dotted red line).

Current usage metrics show cumulative count of Article Views (full-text article views including HTML views, PDF and ePub downloads, according to the available data) and Abstracts Views on Vision4Press platform.

Data correspond to usage on the plateform after 2015. The current usage metrics is available 48-96 hours after online publication and is updated daily on week days.

Initial download of the metrics may take a while.