Open Access

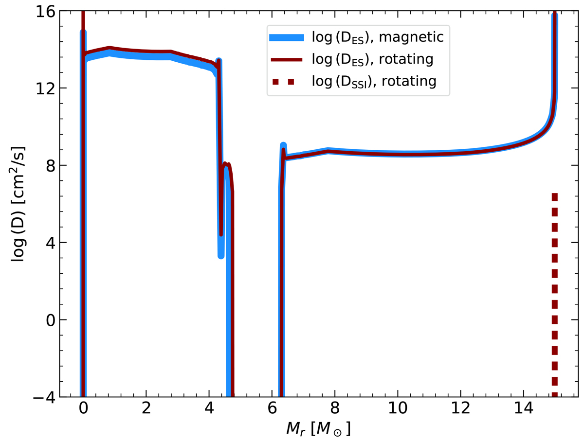
Fig. A.5.

image

Download original image

Diffusion coefficients in the radiative interior of 15 M rotating models computed with MESA with only hydrodynamic (red lines) and both hydrodynamic and magnetic processes (blue lines) in the middle of the MS (Xc = 0.35). The coefficients DSSI (dashed lines) correspond to the transport by the secular shear instability, while the coefficient DES (solid lines) are associated with the transport by meridional currents.

Current usage metrics show cumulative count of Article Views (full-text article views including HTML views, PDF and ePub downloads, according to the available data) and Abstracts Views on Vision4Press platform.

Data correspond to usage on the plateform after 2015. The current usage metrics is available 48-96 hours after online publication and is updated daily on week days.

Initial download of the metrics may take a while.