Open Access

Fig. C.1

image

Download original image

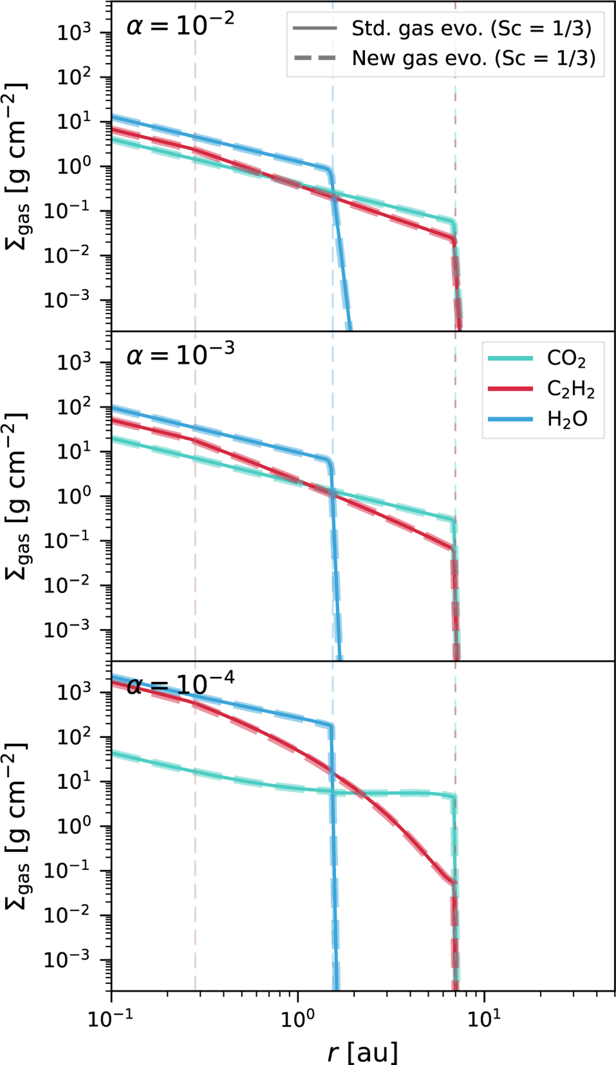
Gas surface density of H2O, CO2, and C2H2 at 1 Myr for a disc around a solar-mass star with varying turbulence viscosity levels. We compare results from the standard version of chemcomp (solid lines), where gaseous species are evolved separately, fixing the Schmidt number at Scg = 1/3, to our new implementation (dashed lines) in which the Schmidt number is a free parameter, here also fixed to Scg = 1/3. We see that the lines overlap, proving the validity of our new approach. Vertical dashed lines indicate the sublimation lines of the displayed species in their respective colour, along with the organics line (dashed brown line).

Current usage metrics show cumulative count of Article Views (full-text article views including HTML views, PDF and ePub downloads, according to the available data) and Abstracts Views on Vision4Press platform.

Data correspond to usage on the plateform after 2015. The current usage metrics is available 48-96 hours after online publication and is updated daily on week days.

Initial download of the metrics may take a while.