Open Access

Fig. 8

image

Download original image

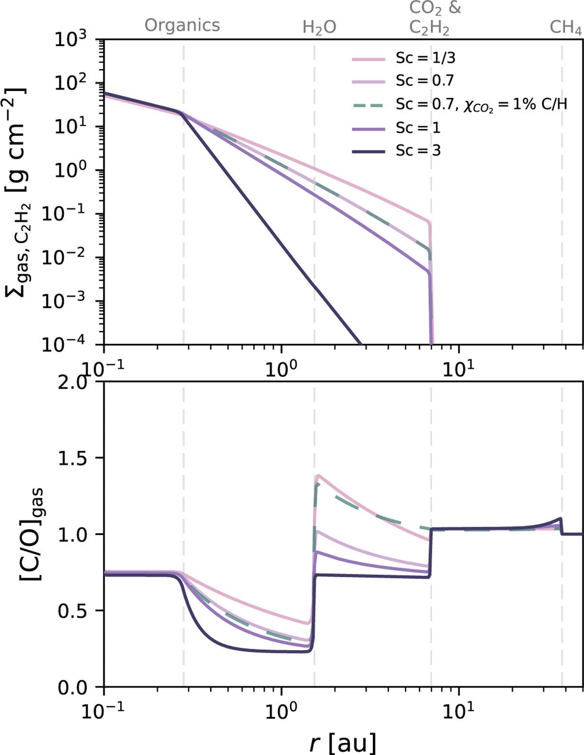
Gas surface density of C2H2 (top) and gas-phase C/O ratio (bottom) at 1 Myr for various Schmidt numbers for a disc around a solar-mass star with α = 10−3. We ran an additional model with a lower initial abundance of CO2 and Sc = 0.7 to show that it allows one to obtain C/O ratios greater than unity outside the water iceline despite a higher Schmidt number. In that model, the mass fraction removed from CO2 is given to CO, meaning that more oxygen becomes available for H2O (see Table A.1). Inside the water iceline, the lowered abundance of CO2 is compensated by the increased abundance of H2O such that the C/O ratio resembles the model with χCO2=10%\[\frame{\chi _\frame{\frame{\text{C}}\frame{\frame{\text{O}}_\frame{\text{2}}}}} = 10\frame{\text{\% }}\] and Sc = 0.7. The sublimation lines of the main species contributing to the C/O ratio are indicated with vertical lines.

Current usage metrics show cumulative count of Article Views (full-text article views including HTML views, PDF and ePub downloads, according to the available data) and Abstracts Views on Vision4Press platform.

Data correspond to usage on the plateform after 2015. The current usage metrics is available 48-96 hours after online publication and is updated daily on week days.

Initial download of the metrics may take a while.