Open Access

Fig. 7

image

Download original image

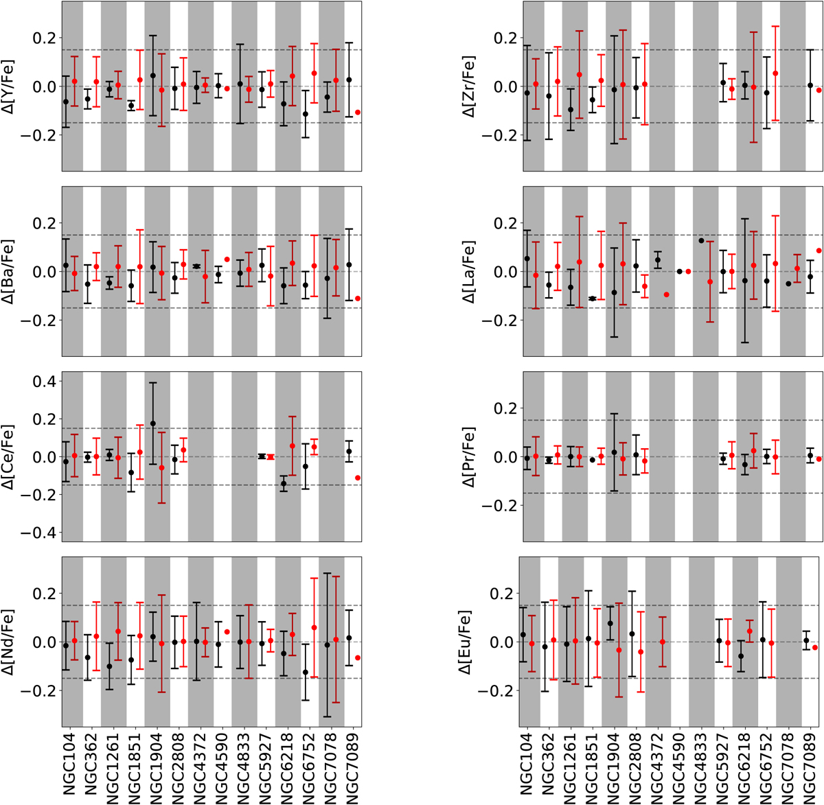
Average and standard deviation for Δ[El/Fe] per GC. They are grouped by generation, with black and red symbols for FG and SG stars, respectively. White and grey areas are plotted only to facilitate the figure’s readability and do not have further meaning. Dashed lines at ±0.15 dex represent the typical uncertainty in the abundance measurements.

Current usage metrics show cumulative count of Article Views (full-text article views including HTML views, PDF and ePub downloads, according to the available data) and Abstracts Views on Vision4Press platform.

Data correspond to usage on the plateform after 2015. The current usage metrics is available 48-96 hours after online publication and is updated daily on week days.

Initial download of the metrics may take a while.