Open Access

Fig. 12

image

Download original image

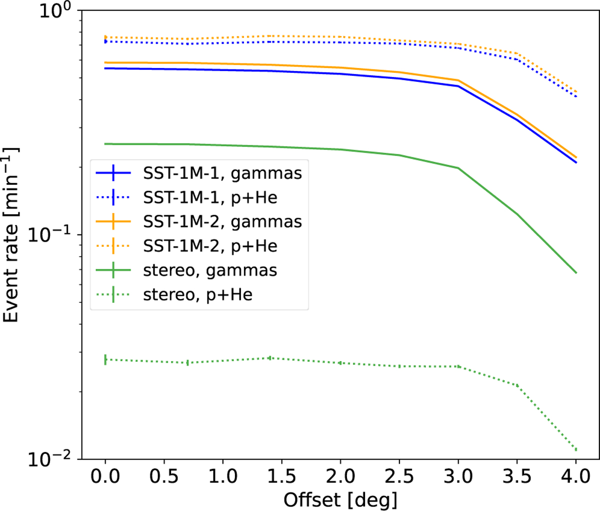
Simulated gamma-ray rate from the Crab Nebula and simulated protons weighted by the CR spectrum in the signal region after analysis cuts as a function of the offset at 20° zenith angle. Only events with energies above the ET are taken into account.

Current usage metrics show cumulative count of Article Views (full-text article views including HTML views, PDF and ePub downloads, according to the available data) and Abstracts Views on Vision4Press platform.

Data correspond to usage on the plateform after 2015. The current usage metrics is available 48-96 hours after online publication and is updated daily on week days.

Initial download of the metrics may take a while.