Open Access

Fig. 8

image

Download original image

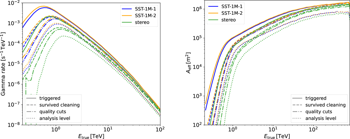
Left: differential rate of point-like gamma rays with Crab Nebula spectrum in mono and stereo for 20° zenith angle. Event rates for different stages of the analysis are shown: all triggered events (solid line), all events that survived cleaning (dashed line), events that survived quality cuts (dash-dotted line), and events that survived θ2 and gammaness cuts used in the analysis (dotted line). Right: effective area for 20° zenith angle.

Current usage metrics show cumulative count of Article Views (full-text article views including HTML views, PDF and ePub downloads, according to the available data) and Abstracts Views on Vision4Press platform.

Data correspond to usage on the plateform after 2015. The current usage metrics is available 48-96 hours after online publication and is updated daily on week days.

Initial download of the metrics may take a while.