Highlight
Open Access

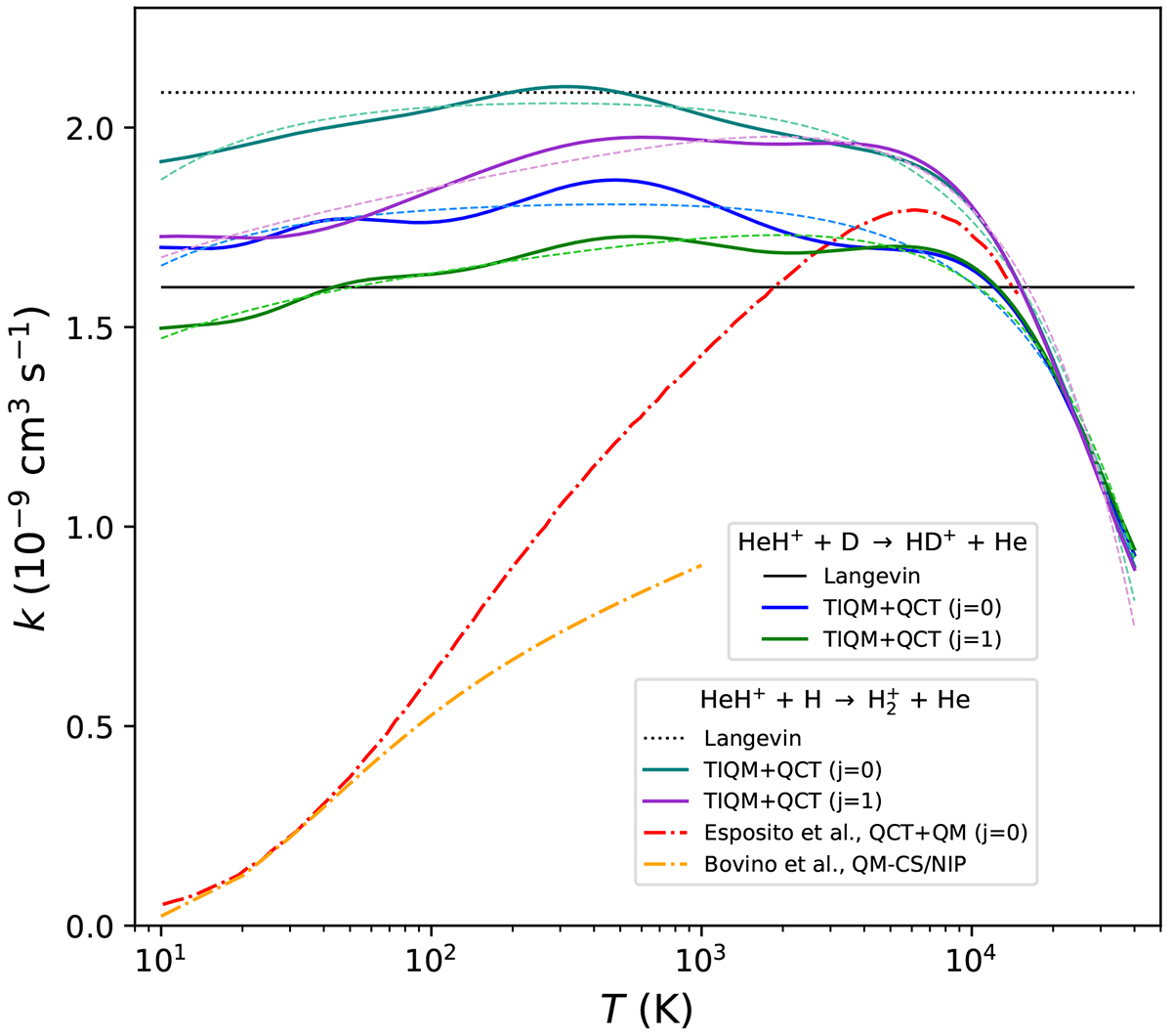
Fig. 3.

image

Download original image

Kinetic temperature rate coefficients for the reactions HeH+ + D → HD+ + He and HeH+ + H → H 2 + $ _{2}^{+} $ + He, derived from our experimentally confirmed TIQM and QCT calculations. The corresponding dashed lines represent the best fit to a modified Arrhenius-Kooij formula (see Appendix D). Also shown are the Langevin rates and previous theoretical results affected by the artificial barrier for comparison.

Current usage metrics show cumulative count of Article Views (full-text article views including HTML views, PDF and ePub downloads, according to the available data) and Abstracts Views on Vision4Press platform.

Data correspond to usage on the plateform after 2015. The current usage metrics is available 48-96 hours after online publication and is updated daily on week days.

Initial download of the metrics may take a while.