Open Access

Fig. C.1.

image

Download original image

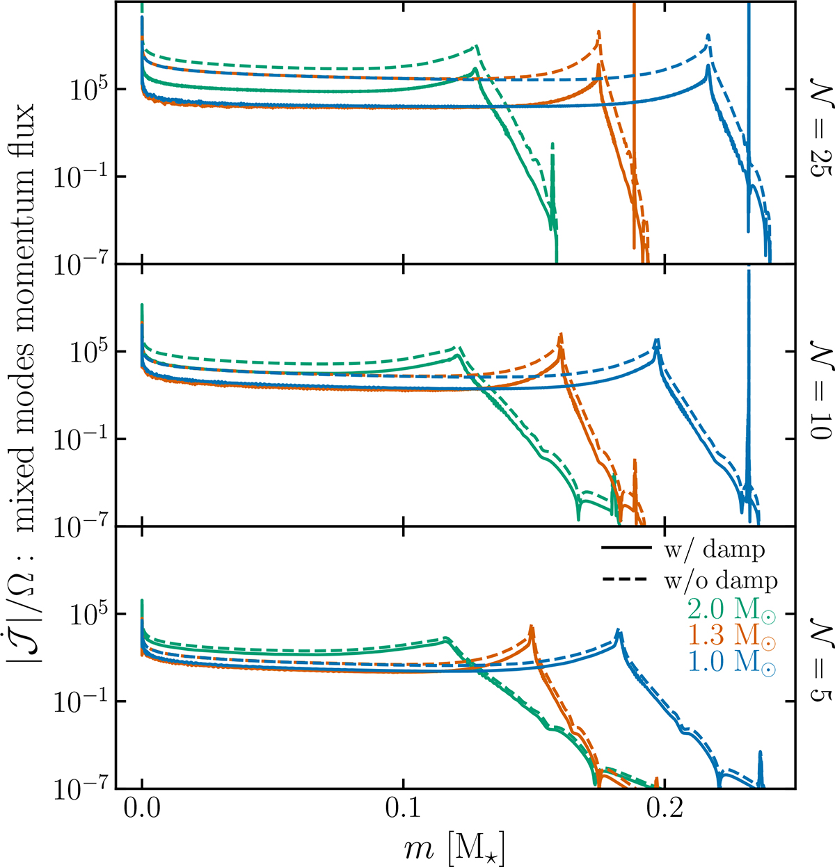
Absolute value for the mixed modes momentum flux normalised by the rotation rate (logarithmic scale) as a function of fractional mass. The different colours represent the mass of the models. The different panels show models at different evolutionary stages: just below the RGB luminosity bump (top panel), lower on the RGB (central panel), and at the base of the RGB (bottom panel). The mixed modes momentum flux was computed with mode damping (filled line) and without mode damping (dashed line).

Current usage metrics show cumulative count of Article Views (full-text article views including HTML views, PDF and ePub downloads, according to the available data) and Abstracts Views on Vision4Press platform.

Data correspond to usage on the plateform after 2015. The current usage metrics is available 48-96 hours after online publication and is updated daily on week days.

Initial download of the metrics may take a while.