Open Access

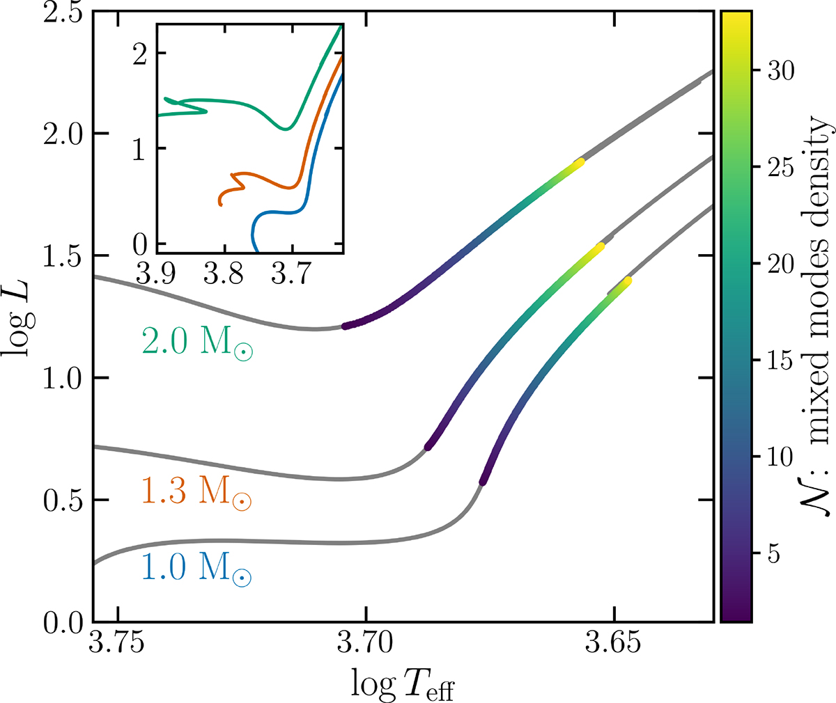
Fig. 2.

image

Download original image

Hertzsprung-Russel (HR) diagram for three masses: 1.0 M (blue line), 1.3 M (orange line) and 2.0 M (green line) with solar metallicity. The selected models for which we computed rotation rates are colour-coded with the correspondent mixed mode density (𝒩) and range from the base of the RGB (𝒩 ∼ 5) until the RGB luminosity bump (𝒩 ∼ 30). The smaller panel shows a zoom-out of the evolutionary tracks starting from the ZAMS.

Current usage metrics show cumulative count of Article Views (full-text article views including HTML views, PDF and ePub downloads, according to the available data) and Abstracts Views on Vision4Press platform.

Data correspond to usage on the plateform after 2015. The current usage metrics is available 48-96 hours after online publication and is updated daily on week days.

Initial download of the metrics may take a while.