Open Access

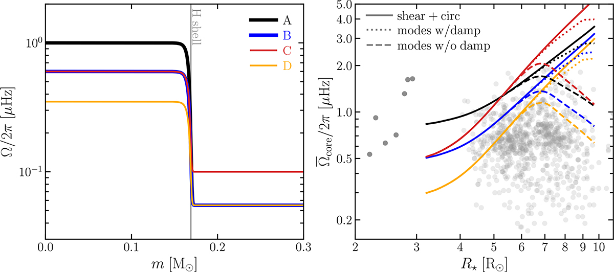
Fig. 7.

image

Download original image

Initial rotation profiles and rotation rates along evolution. Left panel: Rotation profile (logarithmic scale) as a function of the fractional mass. The different colours represent models computed with the different initial rotation profiles listed in Table 1. Right panel: Average core rotation rate (logarithmic scale) as a function of stellar radius (logarithmic scale) for the 1.3 M stellar evolution track. The line style and the grey circles have the same meaning as in Fig. 5.

Current usage metrics show cumulative count of Article Views (full-text article views including HTML views, PDF and ePub downloads, according to the available data) and Abstracts Views on Vision4Press platform.

Data correspond to usage on the plateform after 2015. The current usage metrics is available 48-96 hours after online publication and is updated daily on week days.

Initial download of the metrics may take a while.