Open Access

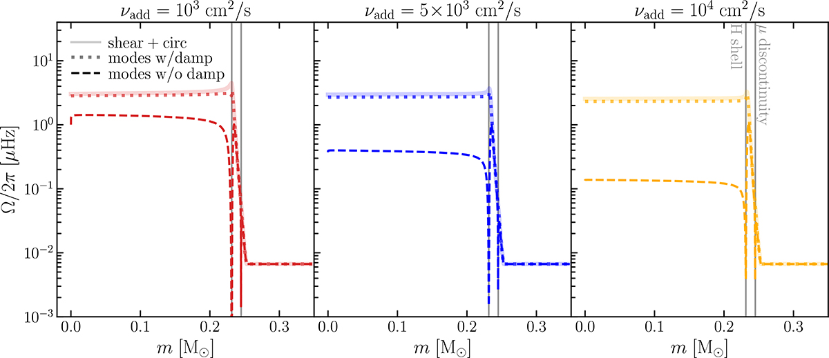
Fig. 9.

image

Download original image

Rotation rate (logarithmic scale) as a function of fractional stellar mass for models with mixed modes density of 30 and 1.3 M. The three panels show models computed with different values for the additional viscosity term in Eq. (32). The colours represent the same angular momentum transport mechanisms as in Fig. 6.

Current usage metrics show cumulative count of Article Views (full-text article views including HTML views, PDF and ePub downloads, according to the available data) and Abstracts Views on Vision4Press platform.

Data correspond to usage on the plateform after 2015. The current usage metrics is available 48-96 hours after online publication and is updated daily on week days.

Initial download of the metrics may take a while.