Open Access

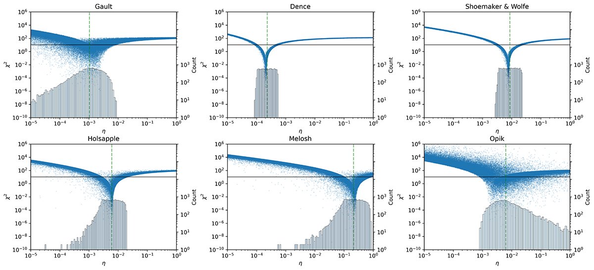
Fig. B.1.

image

Download original image

Results from each of the Monte Carlo simulations for each of the six selected crater scaling laws. The dotted green line represents the median value of the points where χ2≤10.7. Underlaid is the histogram of the number of points where χ2≤10.7.

Current usage metrics show cumulative count of Article Views (full-text article views including HTML views, PDF and ePub downloads, according to the available data) and Abstracts Views on Vision4Press platform.

Data correspond to usage on the plateform after 2015. The current usage metrics is available 48-96 hours after online publication and is updated daily on week days.

Initial download of the metrics may take a while.