Open Access

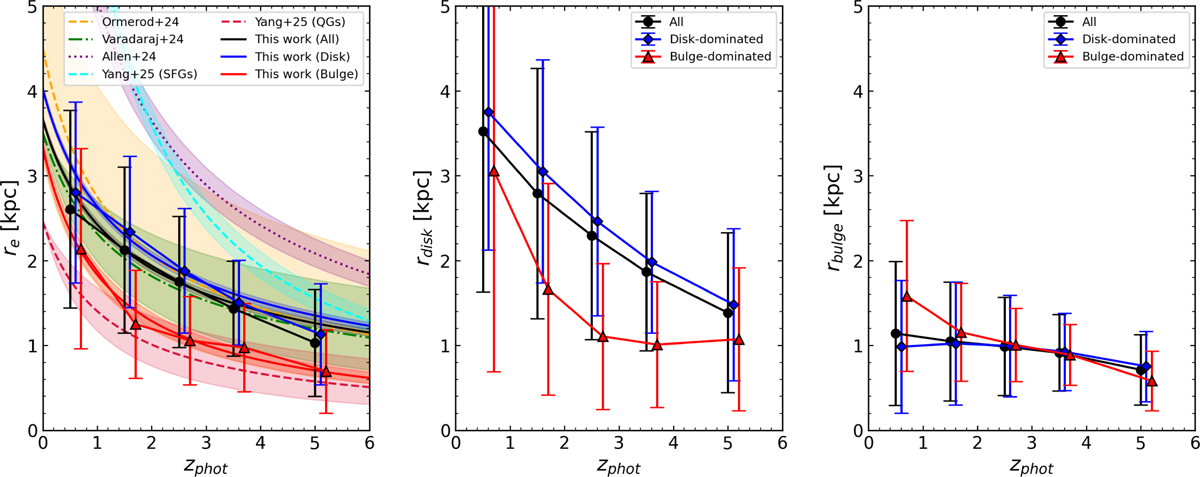
Fig. 7

image

Download original image

Evolution of galaxy sizes as a function of redshift. The plots show the Sérsic effective radius re (left), the disk effective radius rdisk (center), and the bulge effective radius rbulge (right) as a function of zphot for log M/M > 10 galaxies. This corresponds to a mean mass of ≈ 4 × 1010 M. The points with error bars show the mean and 1 σ at a given redshift for all galaxies (black), disk-dominated galaxies (blue), and bulge-dominated galaxies (red). The re evolution is modeled in the left panel for all galaxies, as well as for the bulge- and disk-dominated populations, following re = R(1 + z)a (see Sect. 4.2). We compare the size evolution for all galaxies with previous JWST-based work from Varadaraj et al. (2024), Ormerod et al. (2024), Allen et al. (2025) and Yang et al. (2025).

Current usage metrics show cumulative count of Article Views (full-text article views including HTML views, PDF and ePub downloads, according to the available data) and Abstracts Views on Vision4Press platform.

Data correspond to usage on the plateform after 2015. The current usage metrics is available 48-96 hours after online publication and is updated daily on week days.

Initial download of the metrics may take a while.