Open Access

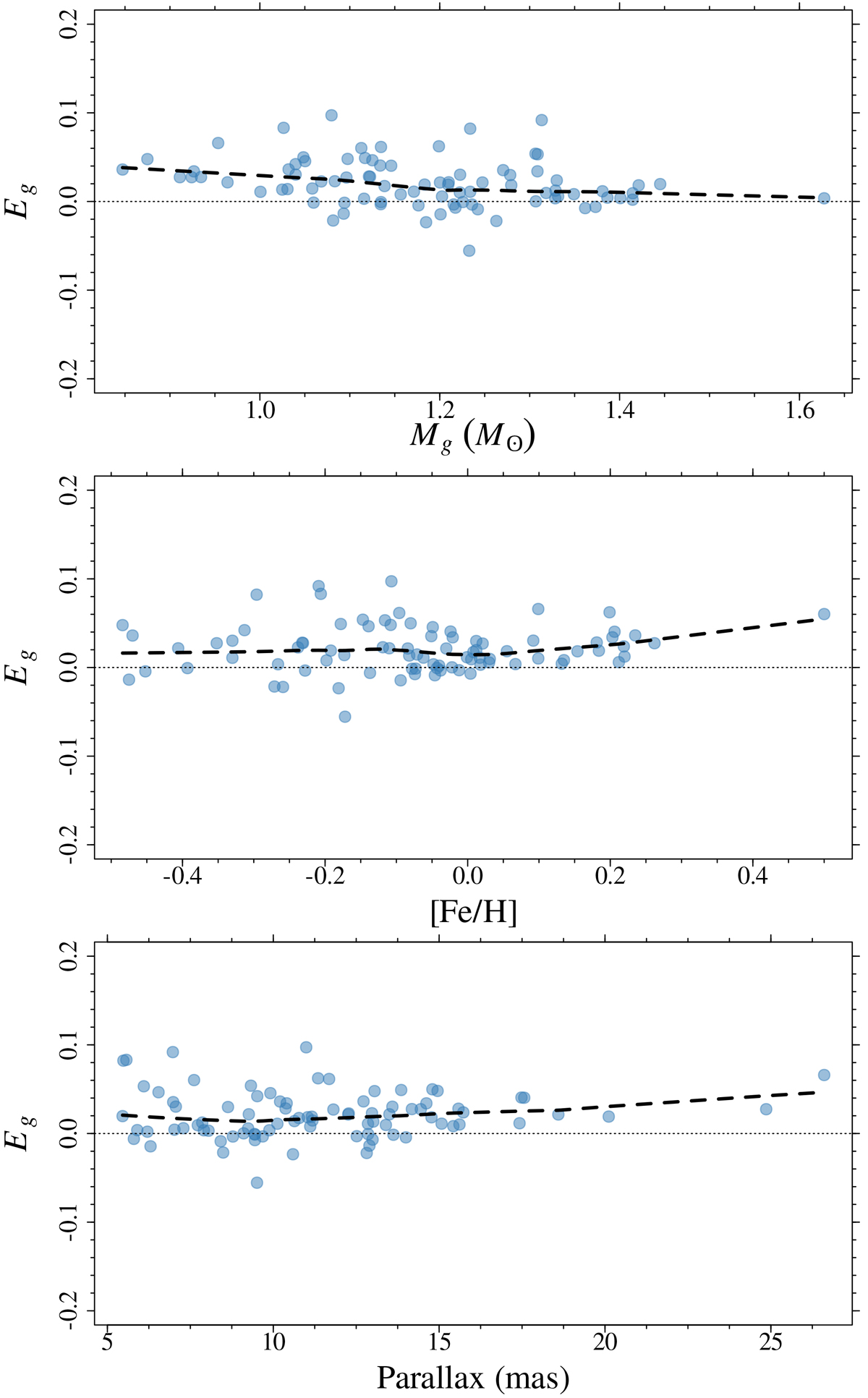
Fig. 1.

image

Download original image

Relative differences in the radii from the Graczyk et al. (2021) SBCR and the asteroseismic grid technique as a function of different parameters. Top: Dependence on the grid-estimated stellar masses. The dashed black line is a smoother of the data. Middle: Same as the top panel but as a function of the metallicity, [Fe/H]. Bottom: Same as the top panel but as a function of the parallax value.

Current usage metrics show cumulative count of Article Views (full-text article views including HTML views, PDF and ePub downloads, according to the available data) and Abstracts Views on Vision4Press platform.

Data correspond to usage on the plateform after 2015. The current usage metrics is available 48-96 hours after online publication and is updated daily on week days.

Initial download of the metrics may take a while.