Open Access

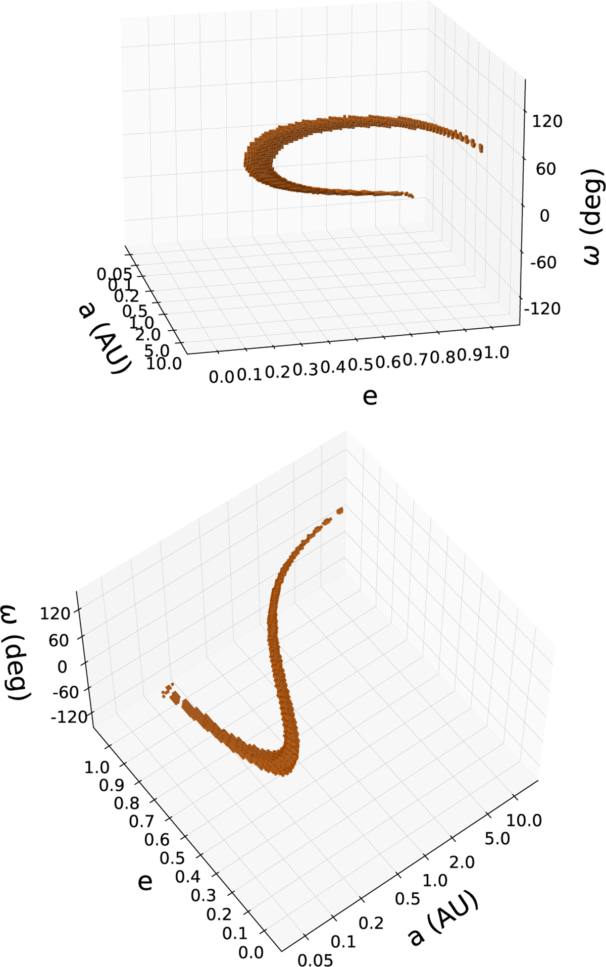
Fig. 11

image

Download original image

Family of orbital solutions with a mean radial velocity during the transit between –35 and –27.5 km/s and a mean radial acceleration between 0.9 and 1.3 km/s/h, consistent with the linear part of the exocomet radial velocity observed during the first three hours of observation on the first 2019 night, and assuming an inclination i equal to 0.0 and a fixed longitude of ascending node Ω (degenerate with argument of periastron ω when i = 0). A linearly accelerating absorption line still permits a wide combination of orbital eccentricities, semimajor axes, and orbital orientations.

Current usage metrics show cumulative count of Article Views (full-text article views including HTML views, PDF and ePub downloads, according to the available data) and Abstracts Views on Vision4Press platform.

Data correspond to usage on the plateform after 2015. The current usage metrics is available 48-96 hours after online publication and is updated daily on week days.

Initial download of the metrics may take a while.