Open Access

Fig. 11.

image

Download original image

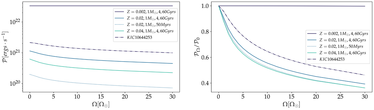
Influence of the stellar structure on the stochastic excitation of acoustic mode ( = 0, n = 8) with rotation. Left: One can notice a stronger decrease in the ratio 𝒫/𝒫0 for stars with a higher metallicity. Modes in such stars are less affected by rotation. Right: The normalised value of the total power injected 𝒫 is plotted.

Current usage metrics show cumulative count of Article Views (full-text article views including HTML views, PDF and ePub downloads, according to the available data) and Abstracts Views on Vision4Press platform.

Data correspond to usage on the plateform after 2015. The current usage metrics is available 48-96 hours after online publication and is updated daily on week days.

Initial download of the metrics may take a while.