Open Access

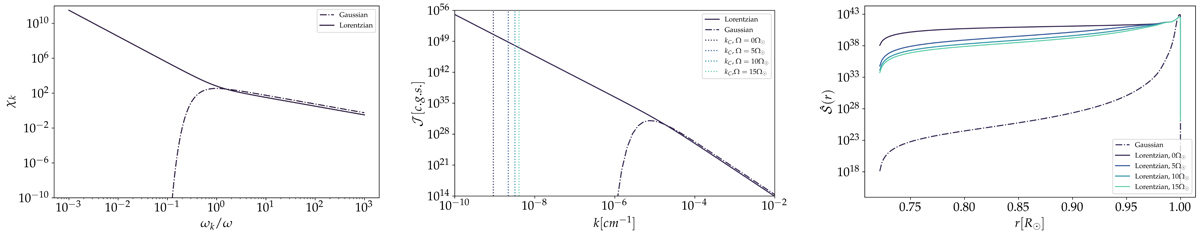
Fig. 4.

image

Download original image

Left: Comparison between a Lorentzian eddy-time correlation function (following Eq. 30) and a Gaussian time-correlation function (Eq. 29), both with ω = 10−3 s−1. Centre: Comparison between a Lorentzian eddy-time correlation function and a Gaussian for the integrand 𝒥(k) of S ̂ $ \hat{\mathcal{S}} $, at r = 0.86 R and θ = 0. As rotation modifies the lower integration bound of 𝒥 for low wavenumbers, it only has a significant influence on the Lorentzian eddy-time correlation. Right: Influence of the choice for the eddy-time correlation on S ̂ $ \hat{\mathcal{S}} $. Rotation only affects this term when a Lorentzian is chosen.

Current usage metrics show cumulative count of Article Views (full-text article views including HTML views, PDF and ePub downloads, according to the available data) and Abstracts Views on Vision4Press platform.

Data correspond to usage on the plateform after 2015. The current usage metrics is available 48-96 hours after online publication and is updated daily on week days.

Initial download of the metrics may take a while.