Open Access

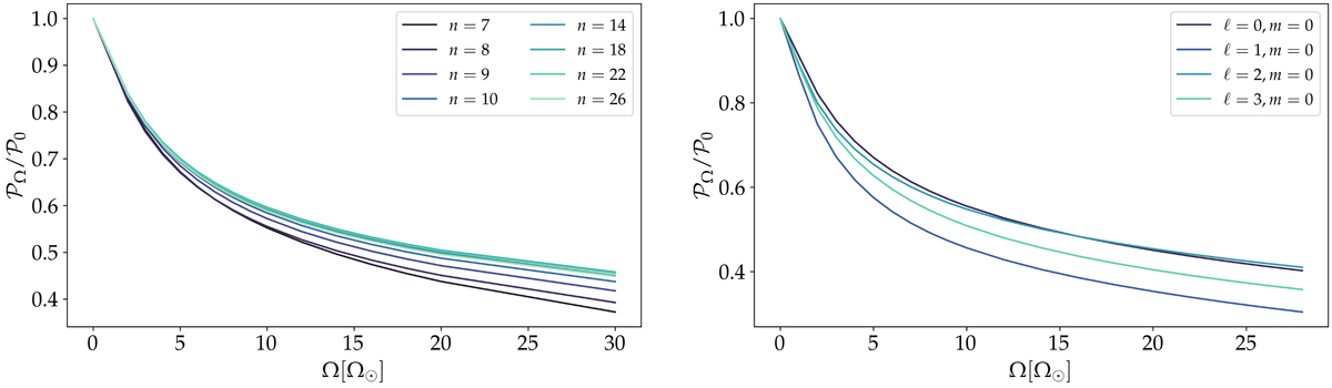
Fig. 8.

image

Download original image

Impact of rotation on different acoustic modes. Left: Influence of the radial order n for the modes with  = 0, m = 0: the modes with the lowest values of n are most influenced by rotation. Right: Influence of the horizontal degree for the modes with n = 8 and m = 0.

Current usage metrics show cumulative count of Article Views (full-text article views including HTML views, PDF and ePub downloads, according to the available data) and Abstracts Views on Vision4Press platform.

Data correspond to usage on the plateform after 2015. The current usage metrics is available 48-96 hours after online publication and is updated daily on week days.

Initial download of the metrics may take a while.