Press Release
Open Access

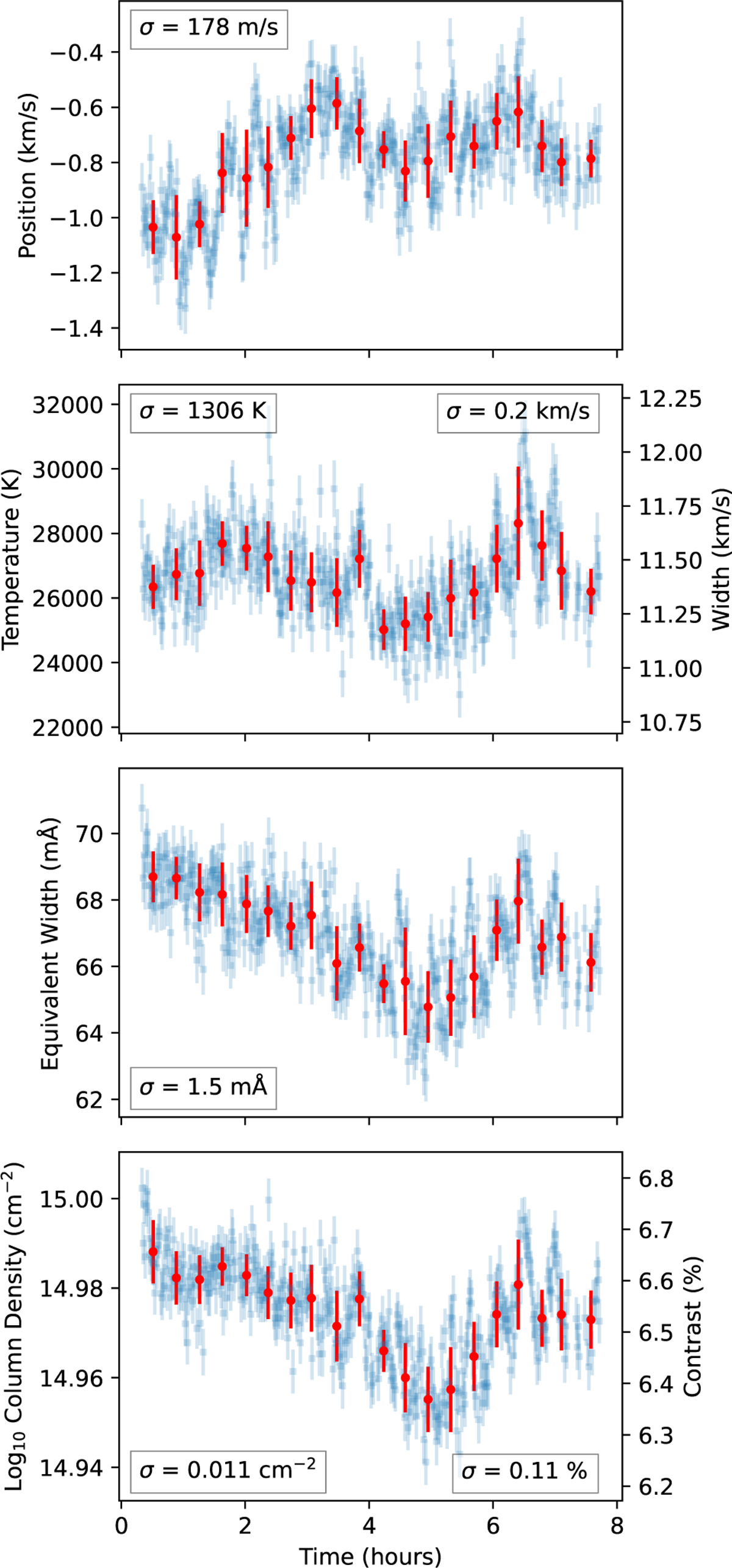
Fig. 3

image

Download original image

Time series of He triplet properties for the observation day January 26, 2023. From top to bottom: He triplet position, width, EW, and depth. The depth and width are expressed in terms of temperature and column density, the units used in our custom model, as well as km/s and %, for better comprehension. The full time series is shown in blue points, and 20× (~19 min) bins are shown as red points. The standard deviation of each time series is indicated in their respective legends.

Current usage metrics show cumulative count of Article Views (full-text article views including HTML views, PDF and ePub downloads, according to the available data) and Abstracts Views on Vision4Press platform.

Data correspond to usage on the plateform after 2015. The current usage metrics is available 48-96 hours after online publication and is updated daily on week days.

Initial download of the metrics may take a while.