Open Access

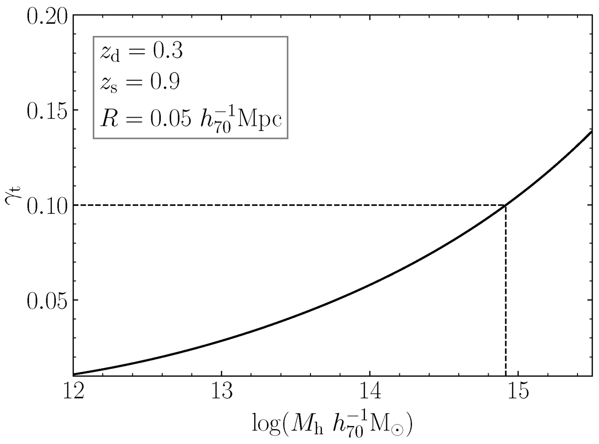
Fig. A.1.

image

Download original image

Amplitude of tangential shear as a function of lens halo mass for a toy model based on the NFW profile, with the lens system geometry listed in the figure. The geometry corresponds to the extreme cases from our analysis, where measurements are already heavily affected by blending effects. In typical cases, the majority of shear amplitudes for a given halo mass are much smaller than what is shown here.

Current usage metrics show cumulative count of Article Views (full-text article views including HTML views, PDF and ePub downloads, according to the available data) and Abstracts Views on Vision4Press platform.

Data correspond to usage on the plateform after 2015. The current usage metrics is available 48-96 hours after online publication and is updated daily on week days.

Initial download of the metrics may take a while.