Open Access

Fig. 29

image

Download original image

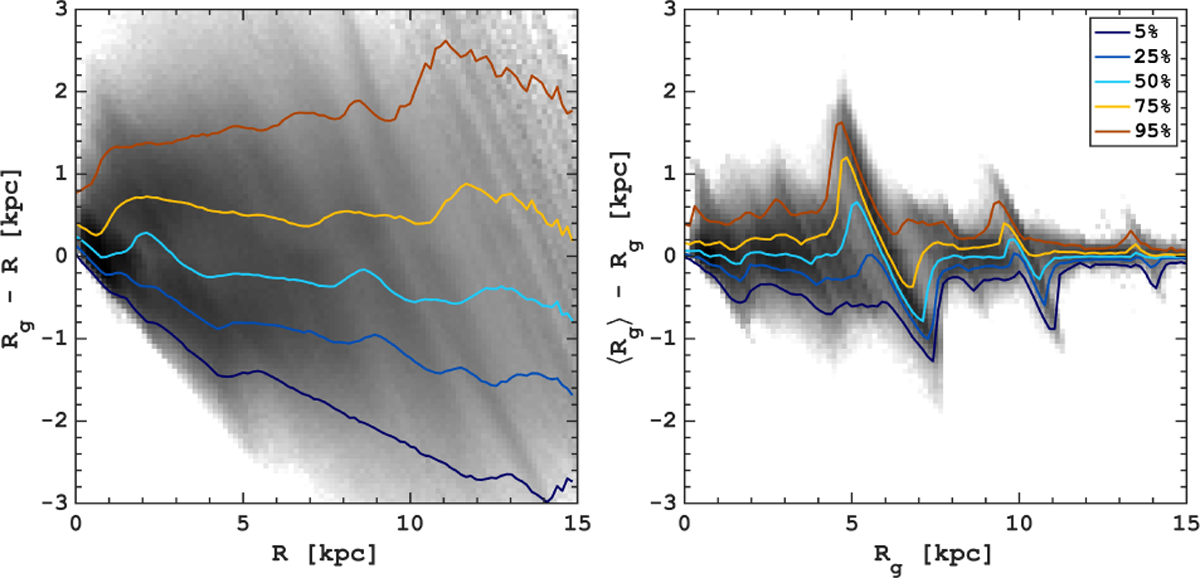
Illustration of the mixing caused by the bar. Left: normalised stellar density distribution in guiding (Rg) – instantaneous (R) plane. Right: normalised stellar density distribution in guiding (Rg) – mean guiding (⟨Rg⟩, orbit averaged) plane. In the right panel, the effect of the main bar resonances CR, OLR, and 4:3 is seen as diagonal overdensities. We stress that these features are not the effect of radial migration (churning), as we consider a constant bar pattern speed and ignore the presence of spiral arms in the orbit superposition modelling. The colored lines indicate different quantiles of the distributions as functions of R (left) and Rg (right), as specified in the legend.

Current usage metrics show cumulative count of Article Views (full-text article views including HTML views, PDF and ePub downloads, according to the available data) and Abstracts Views on Vision4Press platform.

Data correspond to usage on the plateform after 2015. The current usage metrics is available 48-96 hours after online publication and is updated daily on week days.

Initial download of the metrics may take a while.