Open Access

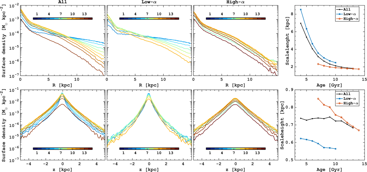
Fig. A.2

image

Download original image

Surface stellar density profiles of mono-age populations in radial (top) and vertical (bottom) directions for all stars (left) with low- and high-α populations separately. The rightmost panels show the exponential scalelength (top) and scaleheigh (bottom) for mono-age stellar populations.

Current usage metrics show cumulative count of Article Views (full-text article views including HTML views, PDF and ePub downloads, according to the available data) and Abstracts Views on Vision4Press platform.

Data correspond to usage on the plateform after 2015. The current usage metrics is available 48-96 hours after online publication and is updated daily on week days.

Initial download of the metrics may take a while.