Open Access

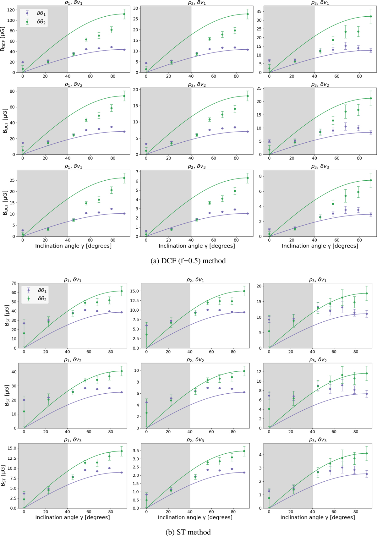
Fig. 8

image

Download original image

Magnetic field strength in the POS calculated using the DCF (panels a) and ST (panels b) methods, as a function of inclination angle γ. Each individual panel represents a different combination of the parameters ρ, δv, δθ, that produce different values for BPOS. In every panel we use a different way of calculating the first two parameters, and both the ways that we estimate the last one, are denoted with the different colors. The solid lines denote the cosine decrease we expect, normalized to the estimated value of BPOS for an inclination angle of γ = 90°. The notation of the indices that we use is explained in Table 1.

Current usage metrics show cumulative count of Article Views (full-text article views including HTML views, PDF and ePub downloads, according to the available data) and Abstracts Views on Vision4Press platform.

Data correspond to usage on the plateform after 2015. The current usage metrics is available 48-96 hours after online publication and is updated daily on week days.

Initial download of the metrics may take a while.