Open Access

Fig. 9

image

Download original image

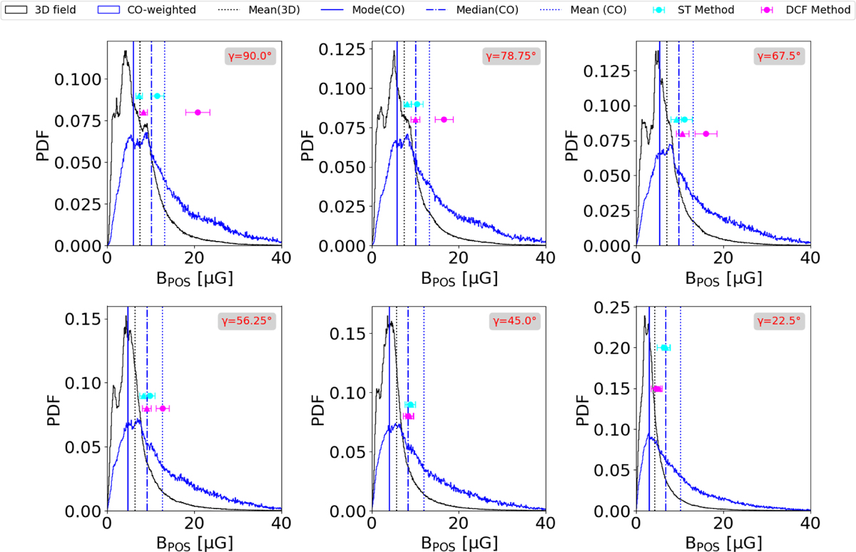
Distributions of BPOS from the simulation for different inclination angles γ. For each inclination angle we have only considered the locations where the column density exceeds the determined threshold (1021 cm−2). Black distributions show the 3D values of the BPOS. Blue distributions show the CO-weighted values of BPOS. Solid, dash-dotted and dotted lines mark the mode, median and mean of each distribution respectively. Points show the values that the methods we are testing predicted. The circles represent the BPOS values predicted by the best-performing combination, while the triangles correspond to the predictions from the second-best combination.

Current usage metrics show cumulative count of Article Views (full-text article views including HTML views, PDF and ePub downloads, according to the available data) and Abstracts Views on Vision4Press platform.

Data correspond to usage on the plateform after 2015. The current usage metrics is available 48-96 hours after online publication and is updated daily on week days.

Initial download of the metrics may take a while.