Open Access

Fig. 9

image

Download original image

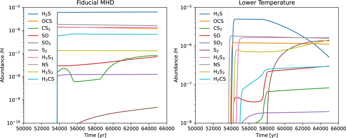
Species abundance comparison between the fiducial MHD model and the lower temperature model. The starting time of the figure has been set to 5×l04 years to show a closer detail of the major changes. Left: fiducial MHD model. In the fiducial case, we observed that the chemistry is mostly inherited from the ices. Once the molecules sublimate (at ~5.4×l04 years) their abundances remain almost constant, except for CS2 and S2. Right: lower temperature model. In this model, different molecules sublimate at different temperatures, and some need a few thousand years to stabilize their gas-phase abundance (e.g., CS2, SO, SO2 and H2CS). After ~5.8×l04 yr, H2S abundance starts to fall, while H2S2 and S2 start to form. In particular, S2 increases its abundance abruptly by several orders of magnitude, reaching an abundance of ~10–6, which is 104 times more than in the fiducial case.

Current usage metrics show cumulative count of Article Views (full-text article views including HTML views, PDF and ePub downloads, according to the available data) and Abstracts Views on Vision4Press platform.

Data correspond to usage on the plateform after 2015. The current usage metrics is available 48-96 hours after online publication and is updated daily on week days.

Initial download of the metrics may take a while.