Open Access

Fig. A.1

image

Download original image

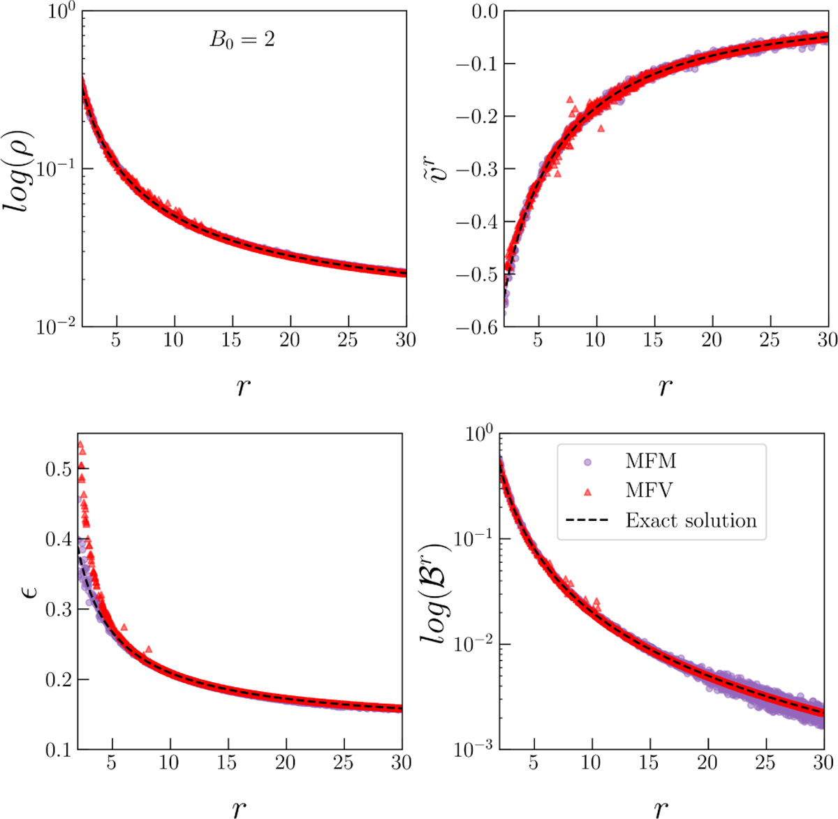
Radial profiles of the rest-mass density ρ, the radial coordinate velocity v~r$\tilde{v}^r$, the specific internal energy ε, and the radial component of the magnetic field Br of the magnetized Bondi accretion test, performed without the energy-entropy switch. We show the results obtained with the MFV (orange triangles) and MFM mode (purple circles), at time t = 10M in the low-magnetization case. The exact solution is reported in each panel by a dashed black line.

Current usage metrics show cumulative count of Article Views (full-text article views including HTML views, PDF and ePub downloads, according to the available data) and Abstracts Views on Vision4Press platform.

Data correspond to usage on the plateform after 2015. The current usage metrics is available 48-96 hours after online publication and is updated daily on week days.

Initial download of the metrics may take a while.