Open Access

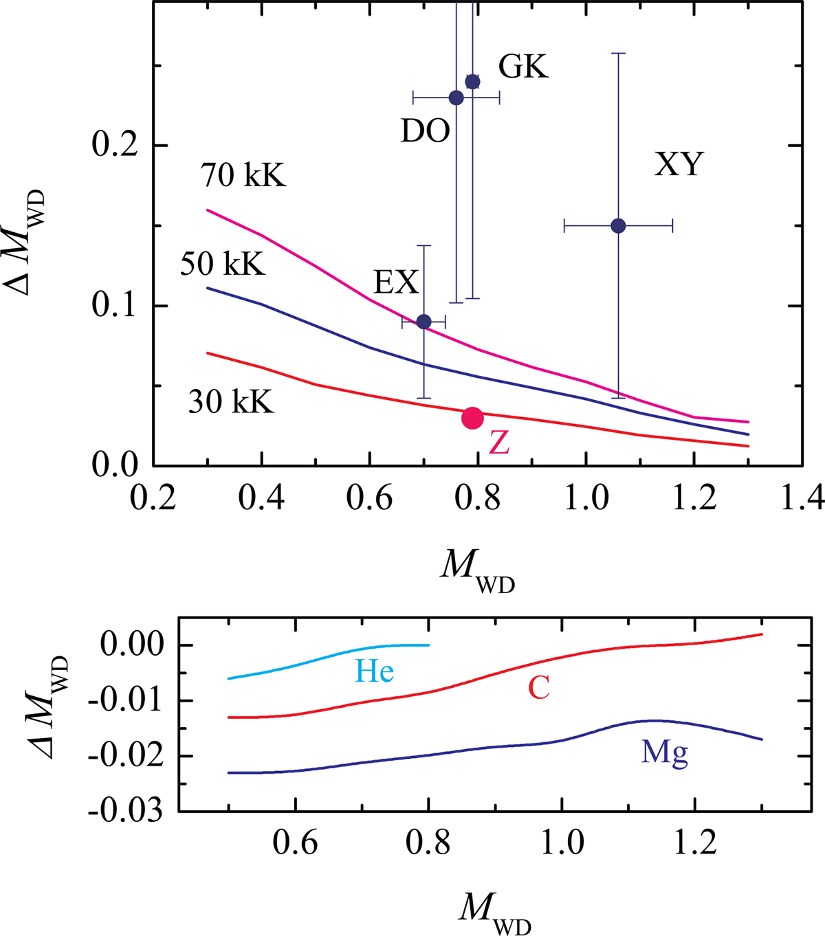
Fig. 3.

image

Download original image

Top panel: corrections to the WD masses determined using zero temperature WD mass-radius relation (Nauenberg 1972) depending on the hydrogen envelope temperature. Differences between WD masses found using hard X-ray observations (Suleimanov et al. 2019) and using optical methods for four objects are also shown. The difference between the average WD mass in IPs and all the CVs (Zorotovic et al. 2011) is shown with the pink dot. Bottom panel: corrections to the WD masses determined using the Nauenberg (1972) mass–radius relation (2) and numerical M − R relations obtained by Hamada & Salpeter (1961) for different WD chemical compositions.

Current usage metrics show cumulative count of Article Views (full-text article views including HTML views, PDF and ePub downloads, according to the available data) and Abstracts Views on Vision4Press platform.

Data correspond to usage on the plateform after 2015. The current usage metrics is available 48-96 hours after online publication and is updated daily on week days.

Initial download of the metrics may take a while.