Open Access

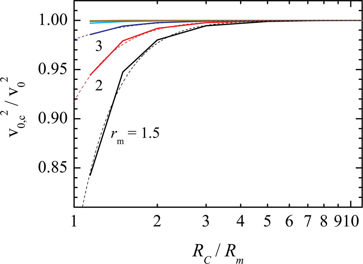
Fig. 4.

image

Download original image

Dependence of the square of the ratio of the plasma velocities at the WD surface, computed by integration of Eq. (A.9) and predicted by Eq. (8), on the ratio RC/Rm for various values of rm. Approximations obtained using Eq. (11) are also shown with dashed curves.

Current usage metrics show cumulative count of Article Views (full-text article views including HTML views, PDF and ePub downloads, according to the available data) and Abstracts Views on Vision4Press platform.

Data correspond to usage on the plateform after 2015. The current usage metrics is available 48-96 hours after online publication and is updated daily on week days.

Initial download of the metrics may take a while.