Open Access

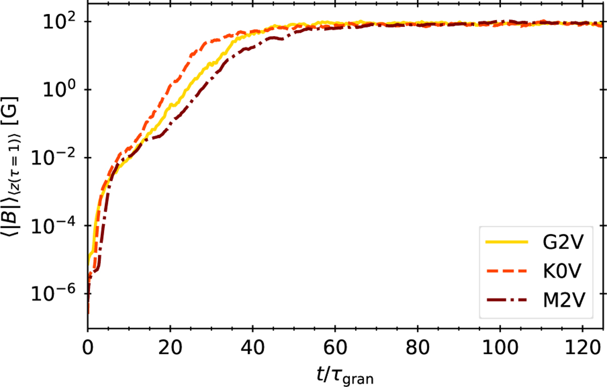
Fig. 1

image

Download original image

Evolution of the modulus of the magnetic field at the average geometrical height where τ = 1 as a function of the number of granulation cycles t/τgran for the three stars. Here, τgran is the granulation lifetime, equal to 4.18, 3.5, and 1.44 min for the G2V, K0V, and M2V stars, respectively (Table 4.2 in Beeck 2014). The G2V star is shown in yellow solid line, K0V in orange dashed, and M2V in brown dot-dashed.

Current usage metrics show cumulative count of Article Views (full-text article views including HTML views, PDF and ePub downloads, according to the available data) and Abstracts Views on Vision4Press platform.

Data correspond to usage on the plateform after 2015. The current usage metrics is available 48-96 hours after online publication and is updated daily on week days.

Initial download of the metrics may take a while.