Open Access

Fig. 10

image

Download original image

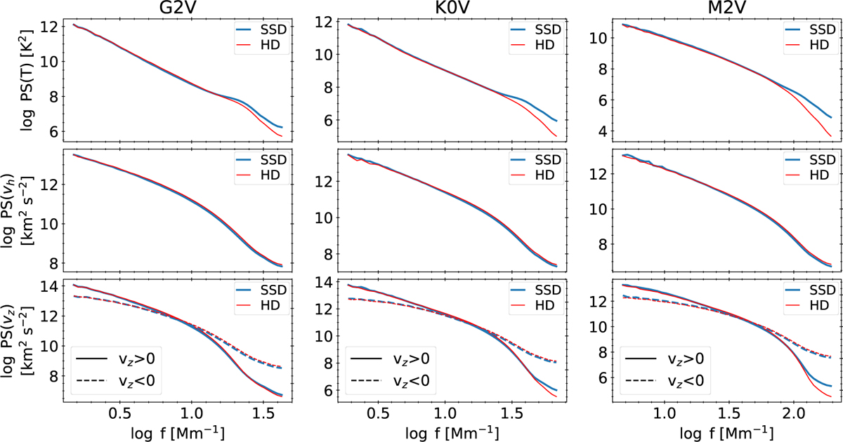
Logarithm of the time averaged radial spatial power spectrum at τ = 1 surface of the temperature (top row), horizontal velocity (middle), and vertical velocity (bottom) of upflows (solid line) and downflows (dashed) versus the logarithm of the radial spatial frequency f for the three stars (different columns) and the SSD (blue thick lines) and HD (red thin) runs.

Current usage metrics show cumulative count of Article Views (full-text article views including HTML views, PDF and ePub downloads, according to the available data) and Abstracts Views on Vision4Press platform.

Data correspond to usage on the plateform after 2015. The current usage metrics is available 48-96 hours after online publication and is updated daily on week days.

Initial download of the metrics may take a while.