Open Access

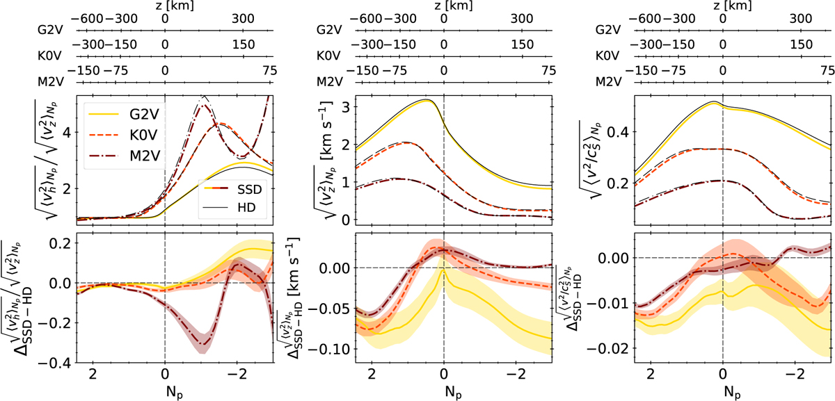
Fig. 14

image

Download original image

Ratio of RMS horizontal and RMS vertical velocities (left column), RMS vertical velocity (middle), and Mach number (right) averaged over time and surfaces of constant number of pressure scale heights Np (see Eq. (11)), versus Np. Similarly to Fig. 4, the quantities are shown in the top row (with the values from the SSD and HD simulations in thick coloured and thin black lines, respectively) and the differences between the values from the SSD and HD simulations (Eq. (9)) are shown in the bottom row, with the errors as shaded areas. The three top axes show the geometrical height for the three stars.

Current usage metrics show cumulative count of Article Views (full-text article views including HTML views, PDF and ePub downloads, according to the available data) and Abstracts Views on Vision4Press platform.

Data correspond to usage on the plateform after 2015. The current usage metrics is available 48-96 hours after online publication and is updated daily on week days.

Initial download of the metrics may take a while.