Open Access

Fig. 8

image

Download original image

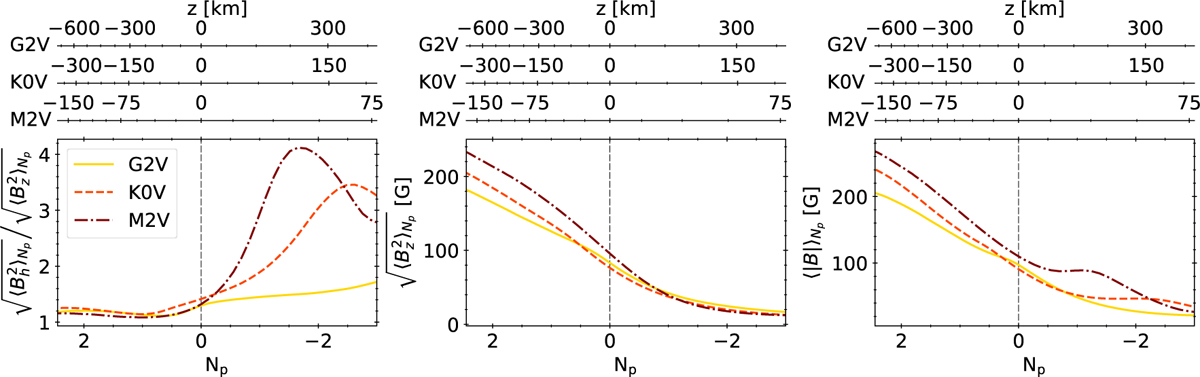
Ratio of RMS horizontal and RMS vertical magnetic field components (left panel), RMS vertical magnetic field component (middle), and modulus of the magnetic field (right) for the three stellar SSD simulations (G2V in yellow solid line, K0V in orange dashed, and M2V in brown dot-dashed) averaged over time and surfaces of constant number of pressure scale heights Np (see Eq. (11)). The three top axes show the geometrical height for the three stars.

Current usage metrics show cumulative count of Article Views (full-text article views including HTML views, PDF and ePub downloads, according to the available data) and Abstracts Views on Vision4Press platform.

Data correspond to usage on the plateform after 2015. The current usage metrics is available 48-96 hours after online publication and is updated daily on week days.

Initial download of the metrics may take a while.