Open Access

Fig. C.1

image

Download original image

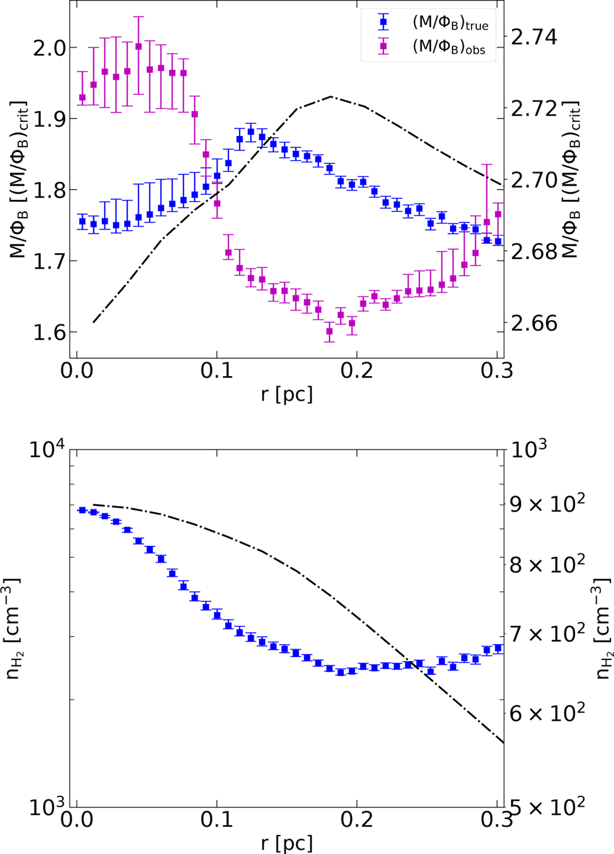
Average profiles of the mass-to-flux ratio (upper panel), and the number density (lower panel) of the cloud in concentric radial shells at a time of 1 tff. With the blue points in the upper panel we show the true mass-to-flux ratio, and with the magenta points we show the observed mass-to-flux ratio. The dash-dotted black lines in the upper and lower panels show, respectively, radial profiles of the true mass-to-flux ratio and the density from a 2D axisymmetric supercritical simulation (Tritsis et al. 2023).

Current usage metrics show cumulative count of Article Views (full-text article views including HTML views, PDF and ePub downloads, according to the available data) and Abstracts Views on Vision4Press platform.

Data correspond to usage on the plateform after 2015. The current usage metrics is available 48-96 hours after online publication and is updated daily on week days.

Initial download of the metrics may take a while.