Open Access

Fig. 1.

image

Download original image

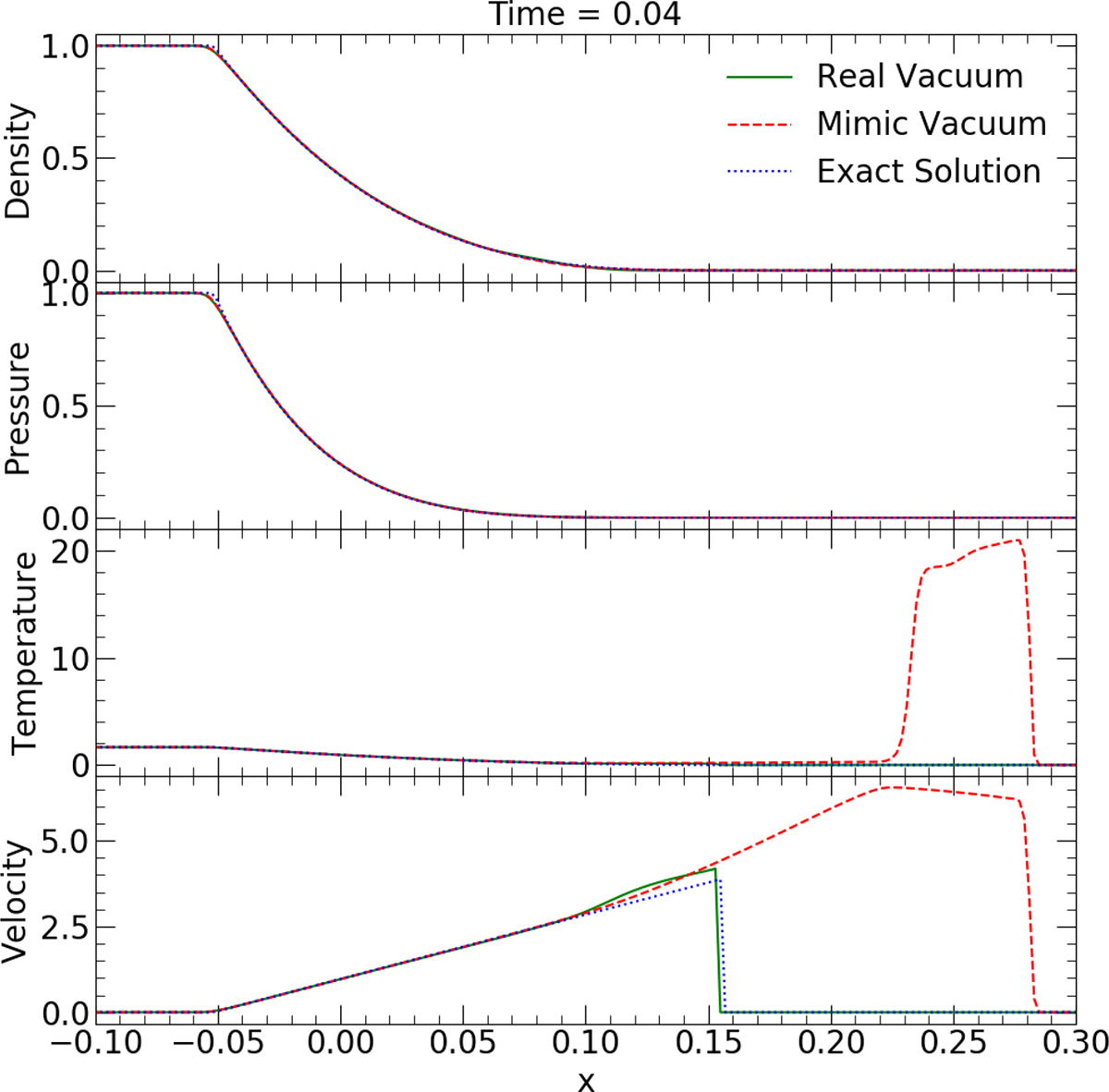
1D simulations of gas freely diffusing into vacuum. For simplicity, all quantities are presented in dimensionless computational units, where both the initial density and pressure are normalised to unity. In this simulation, the left side of x = 0 is initially a constant non-vacuum state, while the right side is set to a vacuum state. Three solutions are presented: the exact solution, the numerical solution involving real vacuum, and the numerical solution involving mimic vacuum. All curves correspond to the same simulation time.

Current usage metrics show cumulative count of Article Views (full-text article views including HTML views, PDF and ePub downloads, according to the available data) and Abstracts Views on Vision4Press platform.

Data correspond to usage on the plateform after 2015. The current usage metrics is available 48-96 hours after online publication and is updated daily on week days.

Initial download of the metrics may take a while.