Open Access

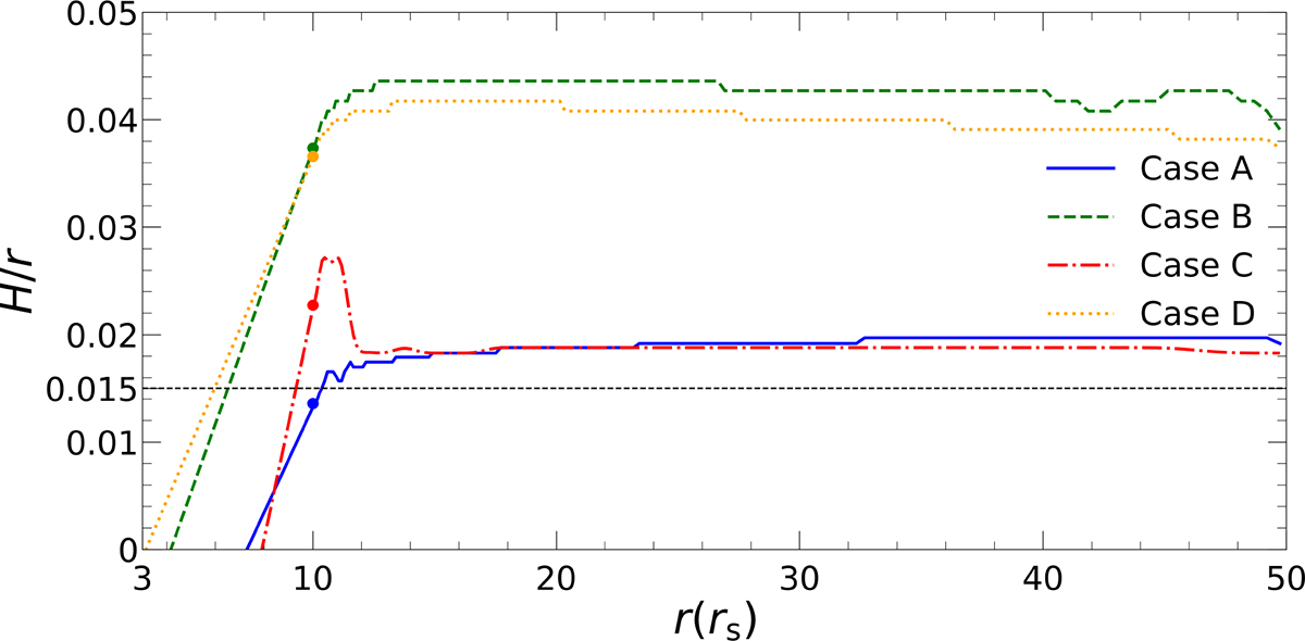
Fig. 9.

image

Download original image

Profiles of the disc half-thickness to radius ratio (H/r) at the last moment for all cases. The curve from 10rs to 50rs derives from our simulation, while the curve from 3rs to 10rs comes from the linear extrapolation. The starting points of extrapolated lines on the H/r curves are marked with solid coloured circles. The dashed black line represents H/r = 0.015, which is the criterion for determining the truncation radius.

Current usage metrics show cumulative count of Article Views (full-text article views including HTML views, PDF and ePub downloads, according to the available data) and Abstracts Views on Vision4Press platform.

Data correspond to usage on the plateform after 2015. The current usage metrics is available 48-96 hours after online publication and is updated daily on week days.

Initial download of the metrics may take a while.