Open Access

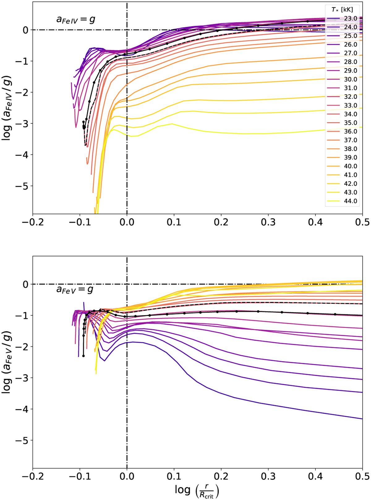
Fig. 2

image

Download original image

Individual radiative accelerations throughout the wind of Fe IV (top panel) and Fe V (bottom panel), afe IV and afeV for the Z* = Z sequence. Both accelerations are normalized by g. The models at the turnover in Fig. 1 are highlighted; the T* = 32 kK model is shown as solid dotted lines, and T* = 33 kK is shown as dashed lines.

Current usage metrics show cumulative count of Article Views (full-text article views including HTML views, PDF and ePub downloads, according to the available data) and Abstracts Views on Vision4Press platform.

Data correspond to usage on the plateform after 2015. The current usage metrics is available 48-96 hours after online publication and is updated daily on week days.

Initial download of the metrics may take a while.