Open Access

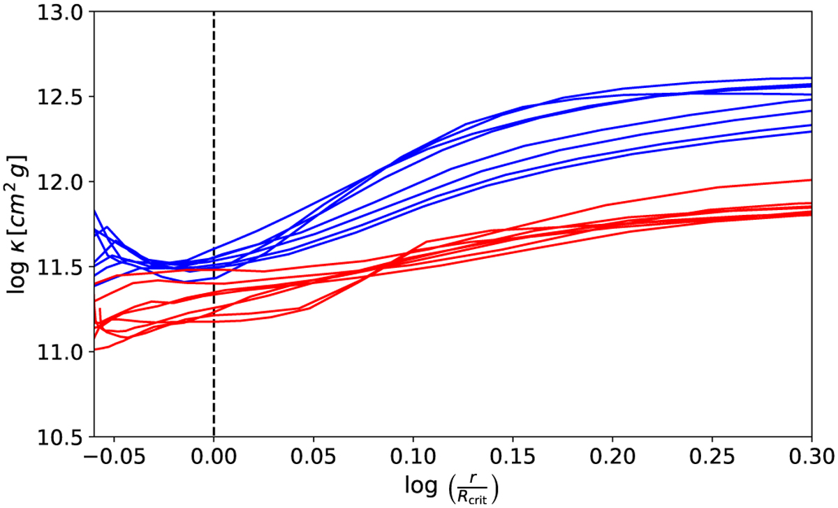
Fig. 7

image

Download original image

Flux-weighted mean opacities χF for iron ions of the 0.8 Z sequence. The blue curves represent the blue side of the jump in Fig. 4, where the red curves represent the hot side.

Current usage metrics show cumulative count of Article Views (full-text article views including HTML views, PDF and ePub downloads, according to the available data) and Abstracts Views on Vision4Press platform.

Data correspond to usage on the plateform after 2015. The current usage metrics is available 48-96 hours after online publication and is updated daily on week days.

Initial download of the metrics may take a while.