Open Access

Fig. 8

image

Download original image

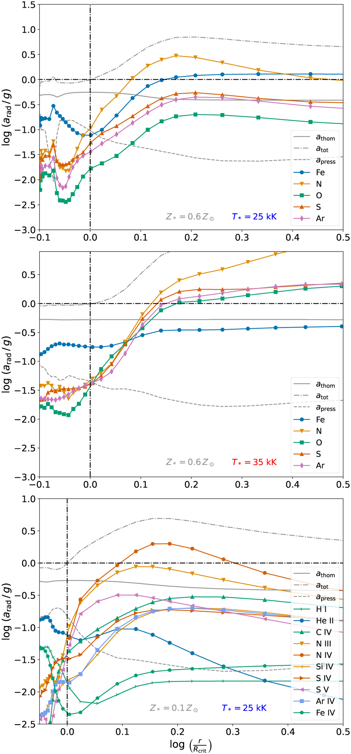
Top two panels: main contributions to the total wind acceleration atot for a hot (top) and cold (midlle) model from the 0.6 Z sequence. The main elemental contributions to the summed radiative acceleration arad are indicated as well. The bottom panel shows the 0.1 Z model at T*, = 25 kK, but now lists the strongest contributions from individual ions to arad.

Current usage metrics show cumulative count of Article Views (full-text article views including HTML views, PDF and ePub downloads, according to the available data) and Abstracts Views on Vision4Press platform.

Data correspond to usage on the plateform after 2015. The current usage metrics is available 48-96 hours after online publication and is updated daily on week days.

Initial download of the metrics may take a while.