Open Access

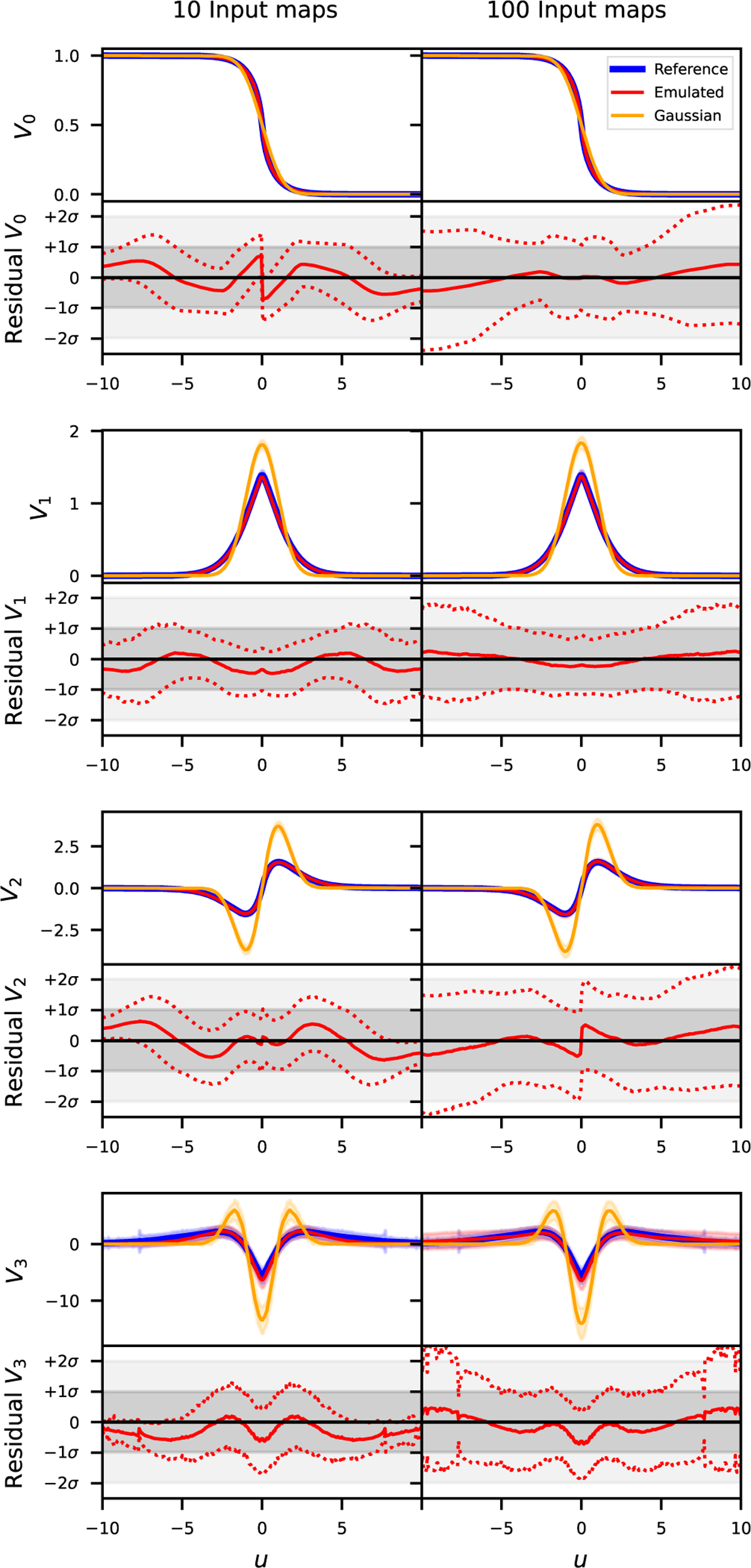
Fig. C.2

image

Download original image

The four S 𝒪(3) Minkowski functionals for the reference (blue), emulated (red) and Gaussian (orange) datasets, for both the 10-maps (left panels) and 100-maps (right panels) input datasets. In each row, the top panel displays the average Minkowski functional with 1−σ shading, while the bottom panel shows the residual, ΔVX=(VXemuVXref)/σVXref$\Delta V_X=\left(\left\langle V_X^{\text {emu}}\right\rangle-\left\langle V_X^{\text {ref}}\right\rangle\right) / \sigma_{V_X}^{\text {ref}}$ (solid red) along with ΔVX±=(VXemuVXref±σVXemu)/σVXref$\Delta V_X^{\pm} = \left(\left\langle V_X^{\mathrm{emu}}\right\rangle-\left\langle V_X^{\mathrm{ref}}\right\rangle \pm \sigma_{V_X}^{\mathrm{emu}}\right) / \sigma_{V_X}^{\mathrm{ref}}$ (dotted red), where σVXref$\sigma_{V_X}^{\mathrm{ref}}$ is the standard deviation from the reference set and σVXemu$\sigma_{V_X}^{\mathrm{emu}}$ is the emulated dataset's one.

Current usage metrics show cumulative count of Article Views (full-text article views including HTML views, PDF and ePub downloads, according to the available data) and Abstracts Views on Vision4Press platform.

Data correspond to usage on the plateform after 2015. The current usage metrics is available 48-96 hours after online publication and is updated daily on week days.

Initial download of the metrics may take a while.