Open Access

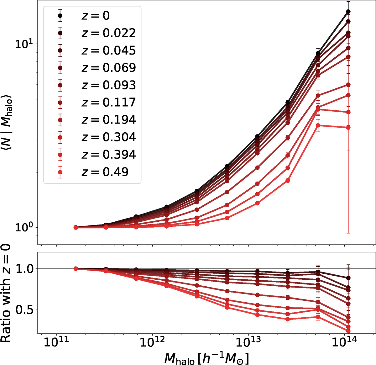
Fig. 3.

image

Download original image

Evolution of the HOD of central galaxies in voids at z = 0. Top panel: HOD for central galaxies in voids at z = 0 across different redshifts. Bottom panel: Ratio between the HOD at each redshift and the HOD at z = 0. The error bars were estimated via the Jackknife resampling method and using 50 subsamples.

Current usage metrics show cumulative count of Article Views (full-text article views including HTML views, PDF and ePub downloads, according to the available data) and Abstracts Views on Vision4Press platform.

Data correspond to usage on the plateform after 2015. The current usage metrics is available 48-96 hours after online publication and is updated daily on week days.

Initial download of the metrics may take a while.