Open Access

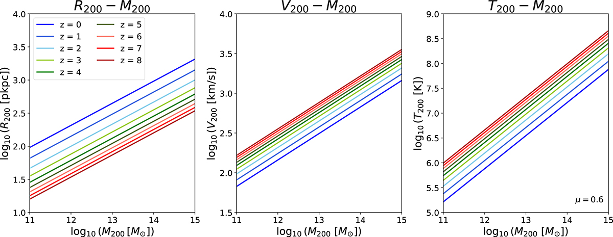
Fig. 4.

image

Download original image

Dependence of virial radius (R200, left panel), virial velocity (V200, center panel), and virial temperature (T200, right panel) on halo mass (M200) and cosmological redshift (z, see legends). Each panel shows results for four orders of magnitude in halo mass and across 13 Gyr of cosmic time (see legends). These panels illustrate how an estimated value of halo mass can be used to infer the physical and phase-space extent of groups and clusters. Additionally, these plots illustrate how various important halo properties may be inferred directly from halo mass estimates and a redshift measurement. The cosmological parameters used in this figure are as follows: ΩM = 0.3, ΩΛ = 0.7, H0 = 70 [km/s Mpc−1]. For the virial temperature, we additionally assume a mean particle mass of 0.6 mp, which is correct for a primordial plasma. However, in reality this must be updated by constraints on the individual group or cluster metallically, especially at lower redshifts.

Current usage metrics show cumulative count of Article Views (full-text article views including HTML views, PDF and ePub downloads, according to the available data) and Abstracts Views on Vision4Press platform.

Data correspond to usage on the plateform after 2015. The current usage metrics is available 48-96 hours after online publication and is updated daily on week days.

Initial download of the metrics may take a while.