Open Access

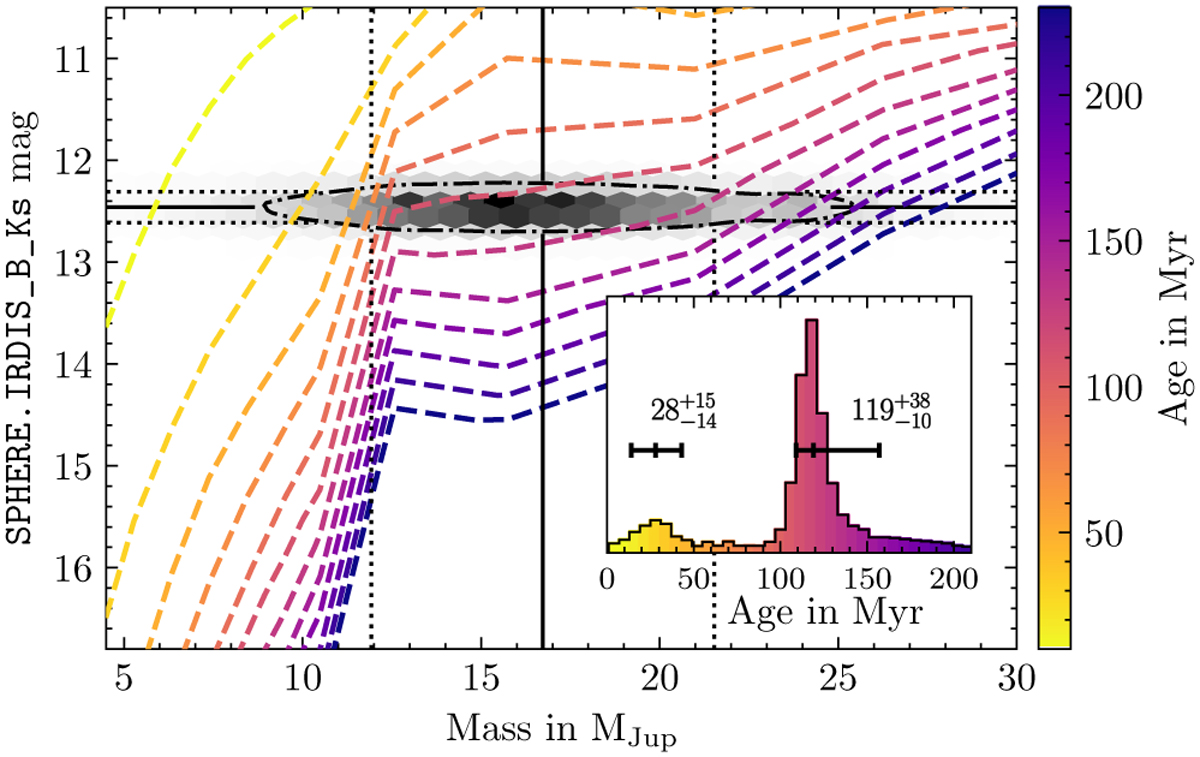
Fig. 7

image

Download original image

Isochrones from the AMES-Dusty model grid (Chabrier et al. 2000; Allard et al. 2001) in the mass-magnitude plane. The colours indicate the respective age. The solid black lines show the dynamical mass of the companion and the IRDIS_B_Ks filter magnitude, the dotted lines delineate the 16th and 84th percentiles. For the filter magnitude, we adopted a conservative systematic error (see text). The grey colour map in the background visualises the two-dimensional distribution of randomly drawn masses and magnitudes from their respective distributions. The dash-dotted line encircles 68% of all draws. The shoulder in the isochrones in this particular region of the mass-magnitude plane is caused by the onset of deuterium burning and the mass dependence of its time evolution. The panel in the bottom right corner shows the companion age posterior obtained by bootstrapping the drawn mass and magnitude pairs onto the age manifold as defined by the isochrones.

Current usage metrics show cumulative count of Article Views (full-text article views including HTML views, PDF and ePub downloads, according to the available data) and Abstracts Views on Vision4Press platform.

Data correspond to usage on the plateform after 2015. The current usage metrics is available 48-96 hours after online publication and is updated daily on week days.

Initial download of the metrics may take a while.